



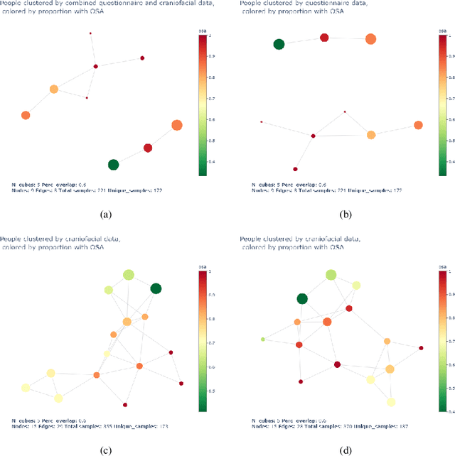
Pediatric obstructive sleep apnea affects an estimated 1-5% of elementary-school aged children and can lead to other detrimental health problems. Swift diagnosis and treatment are critical to a child's growth and development, but the variability of symptoms and the complexity of the available data make this a challenge. We take a first step in streamlining the process by focusing on inexpensive data from questionnaires and craniofacial measurements. We apply correlation networks, the Mapper algorithm from topological data analysis, and singular value decomposition in a process of exploratory data analysis. We then apply a variety of supervised and unsupervised learning techniques from statistics, machine learning, and topology, ranging from support vector machines to Bayesian classifiers and manifold learning. Finally, we analyze the results of each of these methods and discuss the implications for a multi-data-sourced algorithm moving forward.