



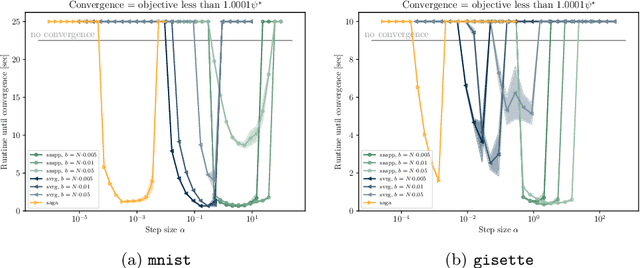
We develop an implementable stochastic proximal point (SPP) method for a class of weakly convex, composite optimization problems. The proposed stochastic proximal point algorithm incorporates a variance reduction mechanism and the resulting SPP updates are solved using an inexact semismooth Newton framework. We establish detailed convergence results that take the inexactness of the SPP steps into account and that are in accordance with existing convergence guarantees of (proximal) stochastic variance-reduced gradient methods. Numerical experiments show that the proposed algorithm competes favorably with other state-of-the-art methods and achieves higher robustness with respect to the step size selection.