



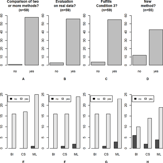
In a context where most published articles are devoted to the development of "new methods", comparison studies are generally appreciated by readers but surprisingly given poor consideration by many scientific journals. In connection with recent articles on over-optimism and epistemology published in Bioinformatics, this letter stresses the importance of neutral comparison studies for the objective evaluation of existing methods and the establishment of standards by drawing parallels with clinical research.