



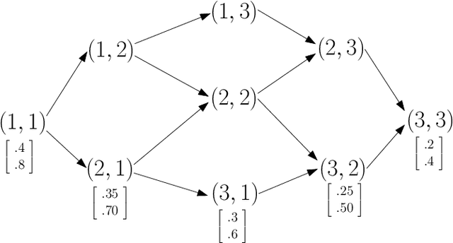
We propose a new method for parameter learning in Bayesian networks with qualitative influences. This method extends our previous work from networks of binary variables to networks of discrete variables with ordered values. The specified qualitative influences correspond to certain order restrictions on the parameters in the network. These parameters may therefore be estimated using constrained maximum likelihood estimation. We propose an alternative method, based on the isotonic regression. The constrained maximum likelihood estimates are fairly complicated to compute, whereas computation of the isotonic regression estimates only requires the repeated application of the Pool Adjacent Violators algorithm for linear orders. Therefore, the isotonic regression estimator is to be preferred from the viewpoint of computational complexity. Through experiments on simulated and real data, we show that the new learning method is competitive in performance to the constrained maximum likelihood estimator, and that both estimators improve on the standard estimator.