



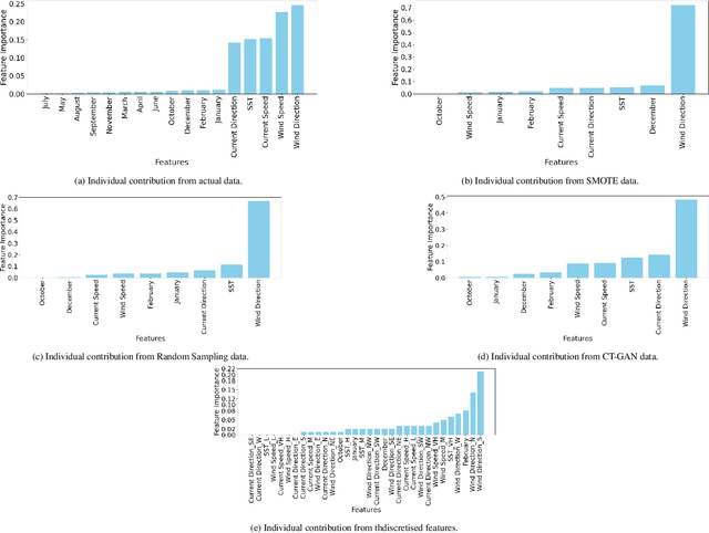
Bluebottles (\textit{Physalia} spp.) are marine stingers resembling jellyfish, whose presence on Australian beaches poses a significant public risk due to their venomous nature. Understanding the environmental factors driving bluebottles ashore is crucial for mitigating their impact, and machine learning tools are to date relatively unexplored. We use bluebottle marine stinger presence/absence data from beaches in Eastern Sydney, Australia, and compare machine learning models (Multilayer Perceptron, Random Forest, and XGBoost) to identify factors influencing their presence. We address challenges such as class imbalance, class overlap, and unreliable absence data by employing data augmentation techniques, including the Synthetic Minority Oversampling Technique (SMOTE), Random Undersampling, and Synthetic Negative Approach that excludes the negative class. Our results show that SMOTE failed to resolve class overlap, but the presence-focused approach effectively handled imbalance, class overlap, and ambiguous absence data. The data attributes such as the wind direction, which is a circular variable, emerged as a key factor influencing bluebottle presence, confirming previous inference studies. However, in the absence of population dynamics, biological behaviours, and life cycles, the best predictive model appears to be Random Forests combined with Synthetic Negative Approach. This research contributes to mitigating the risks posed by bluebottles to beachgoers and provides insights into handling class overlap and unreliable negative class in environmental modelling.