



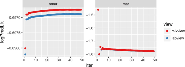
Electronic health records (EHR) are rich heterogeneous collection of patient health information, whose broad adoption provides great opportunities for systematic health data mining. However, heterogeneous EHR data types and biased ascertainment impose computational challenges. Here, we present mixEHR, an unsupervised generative model integrating collaborative filtering and latent topic models, which jointly models the discrete distributions of data observation bias and actual data using latent disease-topic distributions. We apply mixEHR on 12.8 million phenotypic observations from the MIMIC dataset, and use it to reveal latent disease topics, interpret EHR results, impute missing data, and predict mortality in intensive care units. Using both simulation and real data, we show that mixEHR outperforms previous methods and reveals meaningful multi-disease insights.