
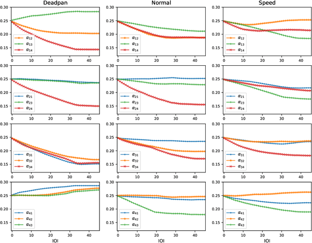
The synchronization of motor responses to rhythmic auditory cues is a fundamental biological phenomenon observed across various species. While the importance of temporal alignment varies across different contexts, achieving precise temporal synchronization is a prominent goal in musical performances. Musicians often incorporate expressive timing variations, which require precise control over timing and synchronization, particularly in ensemble performance. This is crucial because both deliberate expressive nuances and accidental timing deviations can affect the overall timing of a performance. This discussion prompts the question of how musicians adjust their temporal dynamics to achieve synchronization within an ensemble. This paper introduces a novel feedback correction model based on the Kalman Filter, aimed at improving the understanding of interpersonal timing in ensemble music performances. The proposed model performs similarly to other linear correction models in the literature, with the advantage of low computational cost and good performance even in scenarios where the underlying tempo varies.