



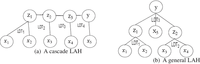
With the development of Internet of Things (IoT), IoT intelligence becomes emerging technology. "Curse of Dimensionality" is the barrier of data fusion in edge devices for the success of IoT intelligence. A Linguistic Attribute Hierarchy (LAH), embedded with Linguistic Decision Trees (LDTs), can represent a new attribute deep learning. In contrast to the conventional deep learning, an LAH could overcome the shortcoming of missing interpretation by providing transparent information propagation through the rules, produced by LDTs in the LAH. Similar to the conventional deep learning, the computing complexity of optimising LAHs blocks the applications of LAHs. In this paper, we propose a heuristic approach to constructing an LAH, embedded with LDTs for decision making or classification by utilising the distance correlations between attributes and between attributes and the goal variable. The set of attributes is divided to some attribute clusters, and then they are heuristically organised to form a linguistic attribute hierarchy. The proposed approach was validated with some benchmark decision making or classification problems from the UCI machine learning repository. The experimental results show that the proposed self-organisation algorithm can construct an effective and efficient linguistic attribute hierarchy. Such a self-organised linguistic attribute hierarchy embedded with LDTs can not only efficiently tackle "curse of dimensionality" in a single LDT for data fusion with massive attributes, but also achieve better or comparable performance on decision making or classification, compared to the single LDT for the problem to be solved. The self-organisation algorithm is much efficient than the Genetic Algorithm in Wrapper for the optimisation of LAHs. This makes it feasible to embed the self-organisation algorithm in edge devices for IoT intelligence.