


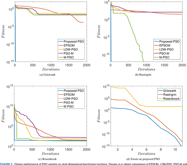
We dramatically improve convergence speed and global exploration capabilities of particle swarm optimization (PSO) through a targeted position-mutated elitism (PSO-TPME). The three key innovations address particle classification, elitism, and mutation in the cognitive and social model. PSO-TPME is benchmarked against five popular PSO variants for multi-dimensional functions, which are extensively adopted in the optimization field, In particular, the convergence accuracy, convergence speed, and the capability to find global minima is investigated. The statistical error is assessed by numerous repetitions. The simulations demonstrate that proposed PSO variant outperforms the other variants in terms of convergence rate and accuracy by orders of magnitude.