


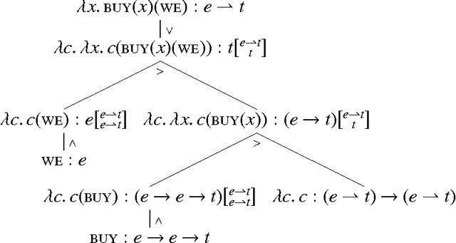
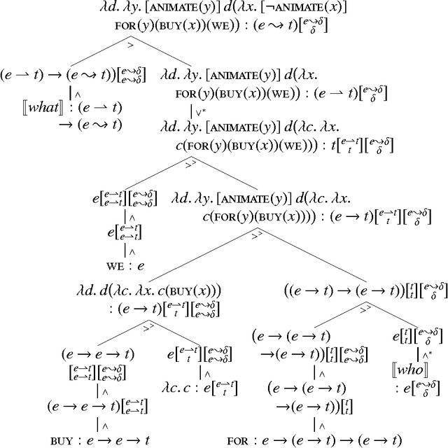
Wh-phrases in English can appear both raised and in-situ. However, only in-situ wh-phrases can take semantic scope beyond the immediately enclosing clause. I present a denotational semantics of interrogatives that naturally accounts for these two properties. It neither invokes movement or economy, nor posits lexical ambiguity between raised and in-situ occurrences of the same wh-phrase. My analysis is based on the concept of continuations. It uses a novel type system for higher-order continuations to handle wide-scope wh-phrases while remaining strictly compositional. This treatment sheds light on the combinatorics of interrogatives as well as other kinds of so-called A'-movement.