



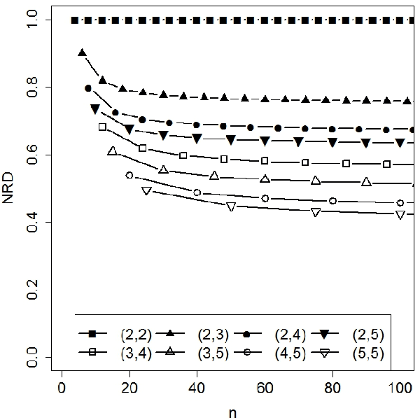
The misclassification error distance and the adjusted Rand index are two of the most commonly used criteria to evaluate the performance of clustering algorithms. This paper provides an in-depth comparison of the two criteria, aimed to better understand exactly what they measure, their properties and their differences. Starting from their population origins, the investigation includes many data analysis examples and the study of particular cases in great detail. An exhaustive simulation study allows inspecting the criteria distributions and reveals some previous misconceptions.