



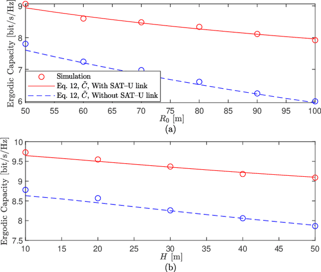
This paper proposes a three-dimensional (3D) satellite-terrestrial communication network assisted with reconfigurable intelligent surfaces (RISs). Using stochastic geometry models, we present an original framework to derive tractable yet accurate closed-form expressions for coverage probability and ergodic capacity in the presence of fading. A homogeneous Poisson point process models the satellites on a sphere, while RISs are randomly deployed in a 3D cylindrical region. We consider nonidentical channels that correspond to different RISs and follow the {\kappa}-{\mu} fading distribution. We verify the high accuracy of the adopted approach through Monte Carlo simulations and demonstrate the significant improvement in system performance due to using RISs. Furthermore, we comprehensively study the effect of the different system parameters on its performance using the derived analytical expressions, which enable system engineers to predict and optimize the expected downlink coverage and capacity performance analytically.