



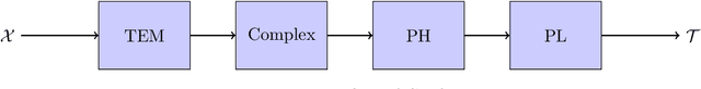
Abstract:Topological Data Analysis (TDA) has emerged as a powerful tool for extracting meaningful features from complex data structures, driving significant advancements in fields such as neuroscience, biology, machine learning, and financial modeling. Despite its success, the integration of TDA with time-series prediction remains underexplored due to three primary challenges: the limited utilization of temporal dependencies within topological features, computational bottlenecks associated with persistent homology, and the deterministic nature of TDA pipelines restricting generalized feature learning. This study addresses these challenges by proposing the Topological Information Supervised (TIS) Prediction framework, which leverages neural networks and Conditional Generative Adversarial Networks (CGANs) to generate synthetic topological features, preserving their distribution while significantly reducing computational time. We propose a novel training strategy that integrates topological consistency loss to improve the predictive accuracy of deep learning models. Specifically, we introduce two state-of-the-art models, TIS-BiGRU and TIS-Informer, designed to capture short-term and long-term temporal dependencies, respectively. Comparative experimental results demonstrate the superior performance of TIS models over conventional predictors, validating the effectiveness of integrating topological information. This work not only advances TDA-based time-series prediction but also opens new avenues for utilizing topological features in deep learning architectures.