Abstract:Uncertainty Quantification (UQ) is crucial for deploying reliable Deep Learning (DL) models in high-stakes applications. Recently, General Type-2 Fuzzy Logic Systems (GT2-FLSs) have been proven to be effective for UQ, offering Prediction Intervals (PIs) to capture uncertainty. However, existing methods often struggle with computational efficiency and adaptability, as generating PIs for new coverage levels $(\phi_d)$ typically requires retraining the model. Moreover, methods that directly estimate the entire conditional distribution for UQ are computationally expensive, limiting their scalability in real-world scenarios. This study addresses these challenges by proposing a blueprint calibration strategy for GT2-FLSs, enabling efficient adaptation to any desired $\phi_d$ without retraining. By exploring the relationship between $\alpha$-plane type reduced sets and uncertainty coverage, we develop two calibration methods: a lookup table-based approach and a derivative-free optimization algorithm. These methods allow GT2-FLSs to produce accurate and reliable PIs while significantly reducing computational overhead. Experimental results on high-dimensional datasets demonstrate that the calibrated GT2-FLS achieves superior performance in UQ, highlighting its potential for scalable and practical applications.
Abstract:In this study, we introduce the Fuzzy Additive Model (FAM) and FAM with Explainability (FAME) as a solution for Explainable Artificial Intelligence (XAI). The family consists of three layers: (1) a Projection Layer that compresses the input space, (2) a Fuzzy Layer built upon Single Input-Single Output Fuzzy Logic Systems (SFLS), where SFLS functions as subnetworks within an additive index model, and (3) an Aggregation Layer. This architecture integrates the interpretability of SFLS, which uses human-understandable if-then rules, with the explainability of input-output relationships, leveraging the additive model structure. Furthermore, using SFLS inherently addresses issues such as the curse of dimensionality and rule explosion. To further improve interpretability, we propose a method for sculpting antecedent space within FAM, transforming it into FAME. We show that FAME captures the input-output relationships with fewer active rules, thus improving clarity. To learn the FAM family, we present a deep learning framework. Through the presented comparative results, we demonstrate the promising potential of FAME in reducing model complexity while retaining interpretability, positioning it as a valuable tool for XAI.
Abstract:Type-1 and Interval Type-2 (IT2) Fuzzy Logic Systems (FLS) excel in handling uncertainty alongside their parsimonious rule-based structure. Yet, in learning large-scale data challenges arise, such as the curse of dimensionality and training complexity of FLSs. The complexity is due mainly to the constraints to be satisfied as the learnable parameters define FSs and the complexity of the center of the sets calculation method, especially of IT2-FLSs. This paper explicitly focuses on the learning problem of FLSs and presents a computationally efficient learning method embedded within the realm of Deep Learning (DL). The proposed method tackles the learning challenges of FLSs by presenting computationally efficient implementations of FLSs, thereby minimizing training time while leveraging mini-batched DL optimizers and automatic differentiation provided within the DL frameworks. We illustrate the efficiency of the DL framework for FLSs on benchmark datasets.




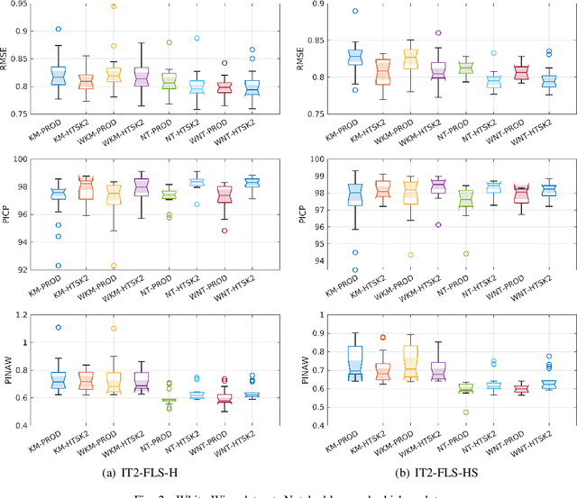
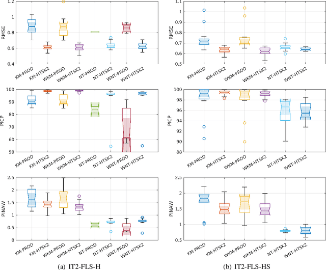
Abstract:In this paper, we tackle the task of generating Prediction Intervals (PIs) in high-risk scenarios by proposing enhancements for learning Interval Type-2 (IT2) Fuzzy Logic Systems (FLSs) to address their learning challenges. In this context, we first provide extra design flexibility to the Karnik-Mendel (KM) and Nie-Tan (NT) center of sets calculation methods to increase their flexibility for generating PIs. These enhancements increase the flexibility of KM in the defuzzification stage while the NT in the fuzzification stage. To address the large-scale learning challenge, we transform the IT2-FLS's constraint learning problem into an unconstrained form via parameterization tricks, enabling the direct application of deep learning optimizers. To address the curse of dimensionality issue, we expand the High-Dimensional Takagi-Sugeno-Kang (HTSK) method proposed for type-1 FLS to IT2-FLSs, resulting in the HTSK2 approach. Additionally, we introduce a framework to learn the enhanced IT2-FLS with a dual focus, aiming for high precision and PI generation. Through exhaustive statistical results, we reveal that HTSK2 effectively addresses the dimensionality challenge, while the enhanced KM and NT methods improved learning and enhanced uncertainty quantification performances of IT2-FLSs.
Abstract:General Type-2 (GT2) Fuzzy Logic Systems (FLSs) are perfect candidates to quantify uncertainty, which is crucial for informed decisions in high-risk tasks, as they are powerful tools in representing uncertainty. In this paper, we travel back in time to provide a new look at GT2-FLSs by adopting Zadeh's (Z) GT2 Fuzzy Set (FS) definition, intending to learn GT2-FLSs that are capable of achieving reliable High-Quality Prediction Intervals (HQ-PI) alongside precision. By integrating Z-GT2-FS with the \(\alpha\)-plane representation, we show that the design flexibility of GT2-FLS is increased as it takes away the dependency of the secondary membership function from the primary membership function. After detailing the construction of Z-GT2-FLSs, we provide solutions to challenges while learning from high-dimensional data: the curse of dimensionality, and integrating Deep Learning (DL) optimizers. We develop a DL framework for learning dual-focused Z-GT2-FLSs with high performances. Our study includes statistical analyses, highlighting that the Z-GT2-FLS not only exhibits high-precision performance but also produces HQ-PIs in comparison to its GT2 and IT2 fuzzy counterparts which have more learnable parameters. The results show that the Z-GT2-FLS has a huge potential in uncertainty quantification.