



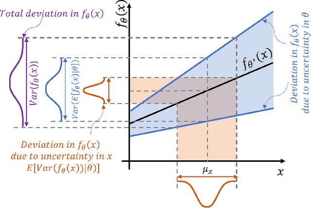
Abstract:In recent years, there has been a growing interest in using machine learning (ML) in query optimization to select more efficient plans. Existing learning-based query optimizers use certain model architectures to convert tree-structured query plans into representations suitable for downstream ML tasks. As the design of these architectures significantly impacts cost estimation, we propose a tree model architecture based on Bidirectional Graph Neural Networks (Bi-GNN) aggregated by Gated Recurrent Units (GRUs) to achieve more accurate cost estimates. The inherent uncertainty of data and model parameters also leads to inaccurate cost estimates, resulting in suboptimal plans and less robust query performance. To address this, we implement a novel learning-to-rank cost model that effectively quantifies the uncertainty in cost estimates using approximate probabilistic ML. This model adaptively integrates quantified uncertainty with estimated costs and learns from comparing pairwise plans, achieving more robust performance. In addition, we propose the first explainability technique specifically designed for learning-based cost models. This technique explains the contribution of any subgraphs in the query plan to the final predicted cost, which can be integrated and trained with any learning-based cost model to significantly boost the model's explainability. By incorporating these innovations, we propose a cost model for a Robust and Explainable Query Optimizer, Reqo, that improves the accuracy, robustness, and explainability of cost estimation, outperforming state-of-the-art approaches in all three dimensions.
Abstract:Learning representations for query plans play a pivotal role in machine learning-based query optimizers of database management systems. To this end, particular model architectures are proposed in the literature to convert the tree-structured query plans into representations with formats learnable by downstream machine learning models. However, existing research rarely compares and analyzes the query plan representation capabilities of these tree models and their direct impact on the performance of the overall optimizer. To address this problem, we perform a comparative study to explore the effect of using different state-of-the-art tree models on the optimizer's cost estimation and plan selection performance in relatively complex workloads. Additionally, we explore the possibility of using graph neural networks (GNN) in the query plan representation task. We propose a novel tree model combining directed GNN with Gated Recurrent Units (GRU) and demonstrate experimentally that the new tree model provides significant improvements to cost estimation tasks and relatively excellent plan selection performance compared to the state-of-the-art tree models.




Abstract:Query optimizers in relational database management systems (RDBMSs) search for execution plans expected to be optimal for a given queries. They use parameter estimates, often inaccurate, and make assumptions that may not hold in practice. Consequently, they may select execution plans that are suboptimal at runtime, when these estimates and assumptions are not valid, which may result in poor query performance. Therefore, query optimizers do not sufficiently support robust query optimization. Recent years have seen a surge of interest in using machine learning (ML) to improve efficiency of data systems and reduce their maintenance overheads, with promising results obtained in the area of query optimization in particular. In this paper, inspired by these advancements, and based on several years of experience of IBM Db2 in this journey, we propose Robust Optimization of Queries, (Roq), a holistic framework that enables robust query optimization based on a risk-aware learning approach. Roq includes a novel formalization of the notion of robustness in the context of query optimization and a principled approach for its quantification and measurement based on approximate probabilistic ML. It also includes novel strategies and algorithms for query plan evaluation and selection. Roq also includes a novel learned cost model that is designed to predict query execution cost and the associated risks and performs query optimization accordingly. We demonstrate experimentally that Roq provides significant improvements to robust query optimization compared to the state-of-the-art.