



Abstract:Massive MIMO base stations use multiple spatial diversity branches, which are often assumed to be uncorrelated in theoretical work. Correlated branches are considered seldom since they are mathematically less tractable. For correlated Rician fading, only the first- and second-order moments have been explored. To describe propagation environments more accurately, full distribution functions are needed. This manuscript provides these functions for the maximum ratio combining effective channel, a quadratic form of a random complex normal channel vector. Its mean vector and covariance matrix are based on a plane wave model incorporating array geometry, antenna element pattern, power angular spectra and power delay profiles. Closed-form approximations of the distribution functions are presented, to allow the fast evaluation of many real-world scenarios. The statistical framework is used to show that low-directivity antenna elements provide better performance in angular constricted Rician fading with off-axis incidence than high-directivity elements. Moreover, two base station array layouts are compared, showing that a half-circle array illuminates a cell more evenly than a uniform linear array. With the full distribution functions available, performance can be compared over the full range of received powers and not only based on the average SNR.




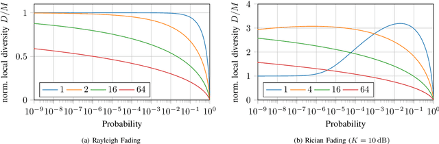
Abstract:Ultra-reliable low-latency communication enables new use cases for mobile radio networks. The ultra-reliability (UR) regime covers outage probabilities between $10^{-9}$ and $10^{-5}$, obtained under stringent latency requirements. Characterisation of the UR-relevant statistics is difficult due to the rare nature of outage events, but diversity defines the asymptotic behaviour of the small-scale fading distributions' lower tail. The UR-relevant regime in large-scale antenna systems behaves differently from the tail. The generalising local diversity at a certain outage probability shows this difference clearly. For more than four independent antenna elements, the classic diversity overestimates and underestimates the slope of the cumulative density function for weak and strong deterministic channel components, respectively.




Abstract:Mobile phone operators have begun the roll-out of 5G networks, deploying massive MIMO base stations. Commercial product ranges start with 16 independent radio chains connected to a large-scale antenna system to exploit both channel hardening and favourable propagation in order to obtain increased spectral efficiency. In this work, the cumulative distribution function describing the gain for large-scale antenna systems considering spatial and spectral diversity is evaluated empirically in terms of a fading margin and compared to an analytical maximum diversity reference system. This allows for a simple investigation of the trade-off between deployment size and exploitation of channel hardening. For the considered site-specific measurement data, little additional diversity is harvested with systems larger than 32 antenna elements.