Abstract:This letter derives the noncoherent (NC) maximum likelihood (ML) detection rule for LoRa signals under Rician multi-path fading channel. The proposed NC-ML detection only requires the channel statistic, not the actual instantaneous channel state information (CSI), which eliminates the overhead associated with channel estimation. Simulation results show that despite the low-complexity, the proposed detection scheme significantly improves the performance of LoRa detection over multipath channel. Notably, in time-invariant channel, the NCML receiver can achieve an equivalently good performance as compared to existing coherent schemes, and even surpasses them when Doppler shift is present, while not relying on the channel estimation nor reference signal extracted from the preamble.




Abstract:This paper proposes a novel preamble design and detection method for multiuser asynchronous massive MIMO LoRa networks. Unlike existing works, which only consider the preamble detection for a single target end devices (ED), we proposed to simultaneously detect the preambles of multiple EDs that asynchronously transmit their uplink (UL) packets to a multiple-antenna gateway (GW). First we show that the preamble detection in multiuser LoRa networks with the conventional single-chirp preamble suffers from the so-called preamble resemblance effect. This means that the preamble of any single ED can resemble the preambles of all EDs in the network, and make it impossible to determine to which ED a preamble belongs. To address this problem, a novel double-chirp preamble design and a preamble assignment method are proposed, which can mitigate the preamble resemblance effect by making the preamble of each ED unique and recognizable. Next, a maximum-likelihood (ML) based detection scheme for the proposed double-chirp preamble is derived. Finally, since the proposed algorithm requires the calculation of the discrete Fourier transform (DFT) every sampling period, we proposed a low-complexity technique to calculate the DFT recursively to reduce the complexity of our proposed design. Simulation shows that the proposed preamble detection design and detection requires just about 2 dB more power to increase the number of EDs from one to 15 in the Rayleigh fading channel while achieving the same preamble detection error performance.




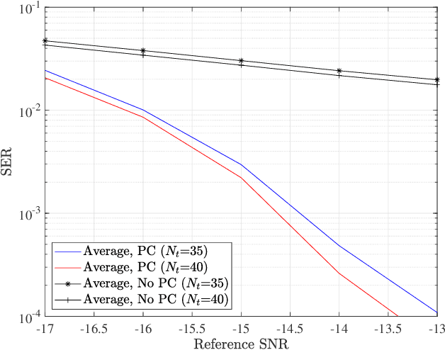
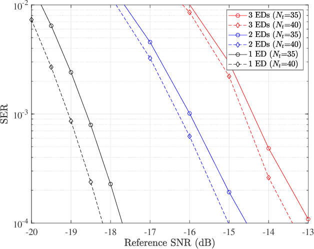
Abstract:This paper investigates a new model to improve the scalability of low-power long-range (LoRa) networks by allowing multiple end devices (EDs) to simultaneously communicate with multiple multi-antenna gateways on the same frequency band and using the same spreading factor. The maximum likelihood (ML) decision rule is first derived for non-coherent detection of information bits transmitted by multiple devices. To overcome the high complexity of the ML detection, we propose a sub-optimal two-stage detection algorithm to balance the computational complexity and error performance. In the first stage, we identify transmit chirps (without knowing which EDs transmit them). In the second stage, we determine the EDs that transmit the specific chirps identified from the first stage. To improve the detection performance in the second stage, we also optimize the transmit powers of EDs to minimize the similarity, measured by the Jaccard coefficient, between the received powers of any pair of EDs. As the power control optimization problem is non-convex, we use concepts from successive convex approximation to transform it to an approximate convex optimization problem that can be solved iteratively and guaranteed to reach a sub-optimal solution. Simulation results demonstrate and justify the tradeoff between transmit power penalties and network scalability of the proposed LoRa network model. In particular, by allowing concurrent transmission of 2 or 3 EDs, the uplink capacity of the proposed network can be doubled or tripled over that of a conventional LoRa network, albeit at the expense of additional 3.0 or 4.7 dB transmit power.



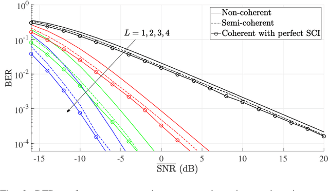
Abstract:Low-power long-range (LoRa) modulation has been used to satisfy the low power and large coverage requirements of Internet of Things (IoT) networks. In this paper, we investigate performance improvements of LoRa modulation when a gateway is equipped with multiple antennas. We derive the optimal decision rules for both coherent and non-coherent detections when combining signals received from multiple antennas. We present expressions of the symbol/bit error probabilities of both the coherent and non-coherent detections in AWGN and Rayleigh fading channels, respectively. Moreover, we also propose an iterative semi-coherent detection that does not require any overhead to estimate the channel-state-information (CSI) while its performance can approach that of the coherent detection. Simulation and analytical results show very large power gains provided by the use of multiple antennas for all the detection schemes considered.