Abstract:This paper presents a systematic approach to detecting High Impedance Faults (HIFs) in medium voltage distribution networks using recurrence plots and machine learning. We first simulate 1150 internal faults, including 300 HIFs, 1000 external faults, and 40 normal conditions using the PSCAD/EMTDC software. Key features are extracted from the 3-phase differential currents using wavelet coefficients, which are then converted into recurrence matrices. A multi-stage classification framework is employed, where the first classification stage identifies internal faults, and the second stage distinguishes HIFs from other internal faults. The framework is evaluated using accuracy, precision, recall, and F1 score. Tree-based classifiers, particularly Random Forest and Decision Tree, achieve superior performance, with 99.24% accuracy in the first stage and 98.26% in the second. The results demonstrate the effectiveness of integrating recurrence analysis with machine learning for fault detection in power distribution networks.
Abstract:Conventional relays face challenges for transmission lines connected to inverter-based resources (IBRs). In this article, a single-ended intelligent protection of the transmission line in the zone between the grid and the PV farm is suggested. The method employs a fuzzy logic and random forest (RF)-based hybrid system to detect faults based on combined linear trend attributes of the 3-phase currents. The fault location is determined and the faulty phase is detected. RF feature selection is used to obtain the optimal linear trend feature. The performance of the methodology is examined for abnormal events such as faults, capacitor and load-switching operations simulated in PSCAD/EMTDC on IEEE 9-bus system obtained by varying various fault and switching parameters. Additionally, when validating the suggested strategy, consideration is given to the effects of conditions such as the presence of double circuit lines, PV capacity, sampling rate, data window length, noise, high impedance faults, CT saturation, compensation devices, evolving and cross-country faults, and far-end and near-end faults. The findings indicate that the suggested strategy can be used to deal with a variety of system configurations and situations while still safeguarding such complex power transmission networks.
Abstract:Protective relays can mal-operate for transmission lines connected to doubly fed induction generator (DFIG) based large capacity wind farms (WFs). The performance of distance relays protecting such lines is investigated and a statistical model based intelligent protection of the area between the grid and the WF is proposed in this article. The suggested method employs an adaptive fuzzy inference system to detect faults based on autoregressive (AR) coefficients of the 3-phase currents selected using minimum redundancy maximum relevance algorithm. Deep learning networks are used to supervise the detection of faults, their subsequent localization, and classification. The effectiveness of the scheme is evaluated on IEEE 9-bus and IEEE 39-bus systems with varying fault resistances, fault inception times, locations, fault types, wind speeds, and transformer connections. Further, the impact of factors like the presence of type-4 WFs, double circuit lines, WF capacity, grid strength, FACTs devices, reclosing on permanent faults, power swings, fault during power swings, voltage instability, load encroachment, high impedance faults, evolving and cross-country faults, close-in and remote-end faults, CT saturation, sampling rate, data window size, synchronization error, noise, and semi-supervised learning are considered while validating the proposed scheme. The results show the efficacy of the suggested method in dealing with various system conditions and configurations while protecting the transmission lines that are connected to WFs.




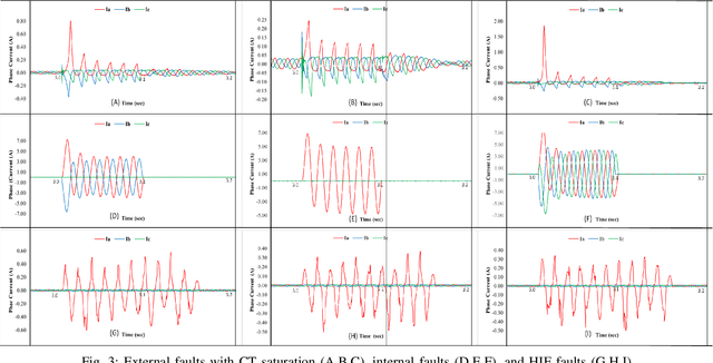
Abstract:This article presents differential protection of the distribution line connecting a wind farm in a microgrid. Machine Learning (ML) based models are built using differential features extracted from currents at both ends of the line to assist in relaying decisions. Wavelet coefficients obtained after feature selection from an extensive list of features are used to train the classifiers. Internal faults are distinguished from external faults with CT saturation. The internal faults include the high impedance faults (HIFs) which have very low currents and test the dependability of the conventional relays. The faults are simulated in a 5-bus system in PSCAD/EMTDC. The results show that ML-based models can effectively distinguish faults and other transients and help maintain security and dependability of the microgrid operation.