



Abstract:In recent years, several machine learning algorithms have been proposed. Among of them, kernel approaches have been considered as a powerful tool for classification. Using an appropriate kernel function can significantly improve the accuracy of the classification. The main goal of this paper is to introduce a new trigonometric kernel function containing one parameter for the machine learning algorithms. Using simple mathematical tools, several useful properties of the proposed kernel function are presented. We also conduct an empirical evaluation on the kernel-SVM and kernel-SVR methods and demonstrate its strong performance compared to other kernel functions.




Abstract:In this paper, we propose a new non-monotone conjugate gradient method for solving unconstrained nonlinear optimization problems. We first modify the non-monotone line search method by introducing a new trigonometric function to calculate the non-monotone parameter, which plays an essential role in the algorithm's efficiency. Then, we apply a convex combination of the Barzilai-Borwein method for calculating the value of step size in each iteration. Under some suitable assumptions, we prove that the new algorithm has the global convergence property. The efficiency and effectiveness of the proposed method are determined in practice by applying the algorithm to some standard test problems and non-negative matrix factorization problems.




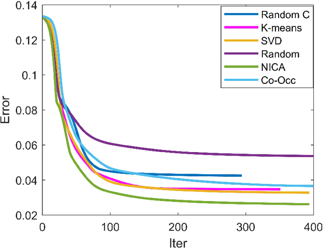
Abstract:Non-negative matrix factorization (NMF) has become a popular method for representing meaningful data by extracting a non-negative basis feature from an observed non-negative data matrix. Some of the unique features of this method in identifying hidden data put this method amongst the powerful methods in the machine learning area. The NMF is a known non-convex optimization problem and the initial point has a significant effect on finding an efficient local solution. In this paper, we investigate the most popular initialization procedures proposed for NMF so far. We describe each method and present some of their advantages and disadvantages. Finally, some numerical results to illustrate the performance of each algorithm are presented.