



Abstract:This document briefly describes the Black-Box Multi-Objective Optimization Benchmarking (BMOBench) platform. It presents the test problems, evaluation procedure, and experimental setup. To this end, the BMOBench is demonstrated by comparing recent multi-objective solvers from the literature, namely SMS-EMOA, DMS, and MO-SOO.


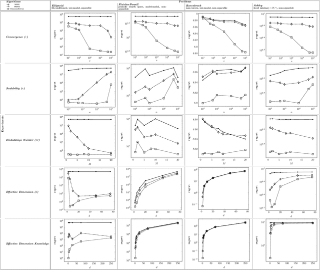
Abstract:Random embedding has been applied with empirical success to large-scale black-box optimization problems with low effective dimensions. This paper proposes the EmbeddedHunter algorithm, which incorporates the technique in a hierarchical stochastic bandit setting, following the optimism in the face of uncertainty principle and breaking away from the multiple-run framework in which random embedding has been conventionally applied similar to stochastic black-box optimization solvers. Our proposition is motivated by the bounded mean variation in the objective value for a low-dimensional point projected randomly into the decision space of Lipschitz-continuous problems. In essence, the EmbeddedHunter algorithm expands optimistically a partitioning tree over a low-dimensional---equal to the effective dimension of the problem---search space based on a bounded number of random embeddings of sampled points from the low-dimensional space. In contrast to the probabilistic theoretical guarantees of multiple-run random-embedding algorithms, the finite-time analysis of the proposed algorithm presents a theoretical upper bound on the regret as a function of the algorithm's number of iterations. Furthermore, numerical experiments were conducted to validate its performance. The results show a clear performance gain over recently proposed random embedding methods for large-scale problems, provided the intrinsic dimensionality is low.