



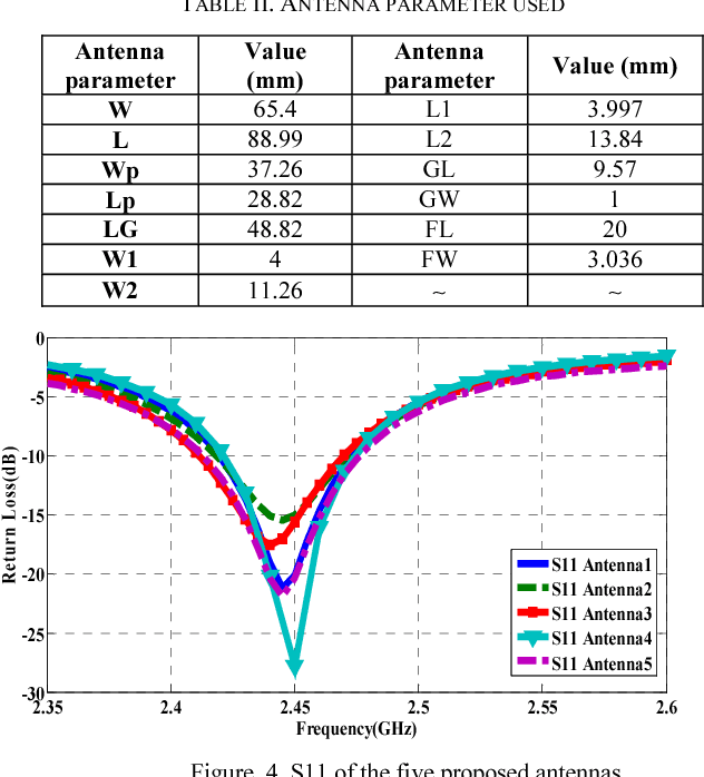
Abstract:Microwave imaging for breast cancer detection is based on the contrast in the electrical properties of healthy fatty breast tissues. This paper presents an industrial, scientific and medical (ISM) bands comparative study of five microstrip patch antennas for microwave imaging at a frequency of 2.45 GHz. The choice of one antenna is made for an antenna array composed of 8 antennas for a microwave breast imaging system. Each antenna element is arranged in a circular configuration so that it can be directly faced to the breast phantom for better tumor detection. This choice is made by putting each antenna alone on the Breast skin to study the electric field, magnetic fields and current density in the healthy tissue of the breast phantom designed and simulated in Ansoft High Frequency Simulation Software (HFSS).