



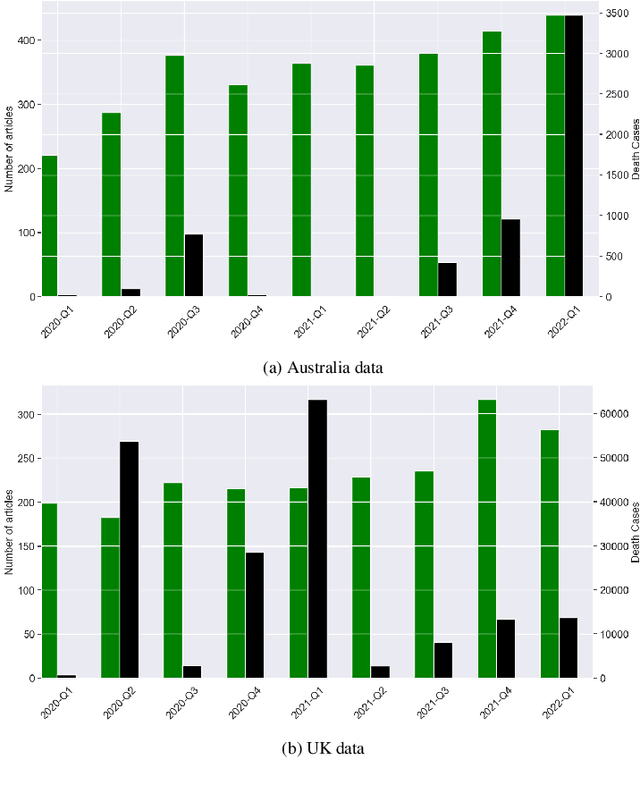
Abstract:During the COVID-19 pandemic, the news media coverage encompassed a wide range of topics that includes viral transmission, allocation of medical resources, and government response measures. There have been studies on sentiment analysis of social media platforms during COVID-19 to understand the public response given the rise of cases and government strategies implemented to control the spread of the virus. Sentiment analysis can provide a better understanding of changes in societal opinions and emotional trends during the pandemic. Apart from social media, newspapers have played a vital role in the dissemination of information, including information from the government, experts, and also the public about various topics. A study of sentiment analysis of newspaper sources during COVID-19 for selected countries can give an overview of how the media covered the pandemic. In this study, we select The Guardian newspaper and provide a sentiment analysis during various stages of COVID-19 that includes initial transmission, lockdowns and vaccination. We employ novel large language models (LLMs) and refine them with expert-labelled sentiment analysis data. We also provide an analysis of sentiments experienced pre-pandemic for comparison. The results indicate that during the early pandemic stages, public sentiment prioritised urgent crisis response, later shifting focus to addressing the impact on health and the economy. In comparison with related studies about social media sentiment analyses, we found a discrepancy between The Guardian with dominance of negative sentiments (sad, annoyed, anxious and denial), suggesting that social media offers a more diversified emotional reflection. We found a grim narrative in The Guardian with overall dominance of negative sentiments, pre and during COVID-19 across news sections including Australia, UK, World News, and Opinion