



Abstract:Directional links in free-space optical (FSO), millimeter-wave (mmWave), and terahertz (THz) systems are a cornerstone of emerging 6G networks, yet their reliability is fundamentally limited by pointing errors and misalignment. Existing studies address this impairment using technology-specific definitions, models, and mitigation approaches, which hinders cross-domain comparison and transferable design insight. This survey provides a unified treatment of pointing errors across optical and high frequency wireless communications. We establish consistent terminology and a cross-technology taxonomy of pointing errors, review angular misalignment and statistical distribution models, and analyze their impact on system performance. Mitigation techniques are systematically surveyed with emphasis on optical systems and their connection to underlying pointing error models. The survey further provides a detailed examination of pointing-error effects in orbital angular momentum (OAM) links and quantum optical communications, and surveys the corresponding mitigation approaches tailored to mode-dependent impairments and quantum measurement constraints. The survey also outlines open challenges and future research directions. By consolidating fragmented literature into a coherent framework, this work supports consistent analysis and robust design of next generation directional communication systems.




Abstract:In this paper, we propose the {\alpha}-Lomax distribution as a new compound fading channel model. This new distribution generalizes the recently introduced Lomax fading channel model. It is worth noting that the Lomax distribution is a decreasing function, while the {\alpha}-Lomax is a unimodal function, offering greater flexibility in modeling wireless fading channels. In particular, we derive closed-form expressions for the probability density function and cumulative distribution function for the instantaneous signal-to-noise ratio (SNR). Additionally, we provide closed-form expressions for several fundamental performance metrics, including outage probability, average bit error rate, and channel capacity. Furthermore, we derive closed-form expression for the average block-length error rate in short-packet communications. Moreover, we fit the PDF of the proposed channel model to empirical data obtained from a device-to-device communication system. We also offer simple and accurate approximations for these expressions in the high SNR regime.




Abstract:We propose a reconfigurable intelligent surface (RIS)-assisted underlay spectrum sharing system, in which a RIS-assisted secondary network shares the spectrum licensed for a primary network. The secondary network consists of a secondary source (SS), an RIS, and a secondary destination (SD), operating in a Rician fading environment. We study the performance of the secondary network while considering a peak power constraint at the SS and an interference power constraint at the primary receiver (PR). Initially, we characterize the statistics of the signal-to-noise ratio (SNR) of the RIS-assisted secondary network by deriving novel analytical expressions for the cumulative distribution function (CDF) and probability density function (PDF) in terms of the incomplete H-function. Building upon the SNR statistics, we analyze the outage probability, ergodic capacity, and average bit error rate, subsequently deriving novel exact expressions for these performance measures. Furthermore, we obtain novel asymptotic expressions for the performance measures of interest when the peak power of the SS is high. Finally, we conduct exhaustive Monte-Carlo simulations to confirm the correctness of our theoretical analysis.

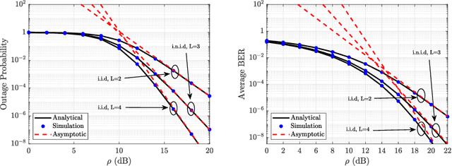
Abstract:We study the performance of a selection combining (SC) receiver operating over independent but non-identically distributed log-logistic ($\mathcal{LL})$ fading channels. We first characterize the statistics of the output instantaneous signal-to-noise ratio (SNR) of the SC receiver. Based on the SNR statistics, we derive exact analytical expressions, in terms of multivariate Fox H-functions, for the outage probability, the average bit error rate, and the ergodic capacity. We also derive exact expressions for such performance measures when all channels are independent and identically distributed, as a special case. Furthermore, we deduce simplified asymptotic expressions for these performance metrics assuming high values of average transmit SNR. To demonstrate the applicability of our theoretical analysis, we study the performance of an SC receiver in underwater optical wireless communication systems. Finally, we confirm the correctness of the derived analytical results using Monte Carlo Simulations.




Abstract:In this paper, the sum of L independent but not necessarily identically distributed (i.n.i.d.) extended $\eta$-$\mu$ variates is considered. In particular, novel expressions for the probability density function and cumulative distribution function are derived in closed-forms. The derived expressions are represented in two different forms, i.e., in terms of confluent multivariate hypergeometric function and general Fox's H-function. Subsequently, closed-form expressions for the outage probability and average symbol error rate are derived. Our analytical results are validated by some numerical and Monte-Carlo simulation results.