



Abstract:This paper focuses on evaluating the outage performance of a dual-hop single-phase non-orthogonal multiple-access (NOMA) system. The base station employs the Alamouti space-time block coding technique (Alamouti-STBC), enabling simultaneous communication with two mobile users, and the far user employs a maximal ratio combining (MRC) scheme. In this setup, the near user serves as a full-duplex (FD) (or half-duplex (HD)) energy harvesting (EH) relay, adopting decode-and-forward (DF) protocol for the far user. The study involves the development of a system model and the closed-form equations of exact and asymptotic outage probabilities (OP) over Nakagami-m fading channels with and without direct link considering a threshold-based nonlinear EH relaying model. We verify analytical results by Monte Carlo simulations and show that the presence of a direct link in the system enhances the performance of the far user considerably by mitigating the degradation caused by the self-interference in the near user.




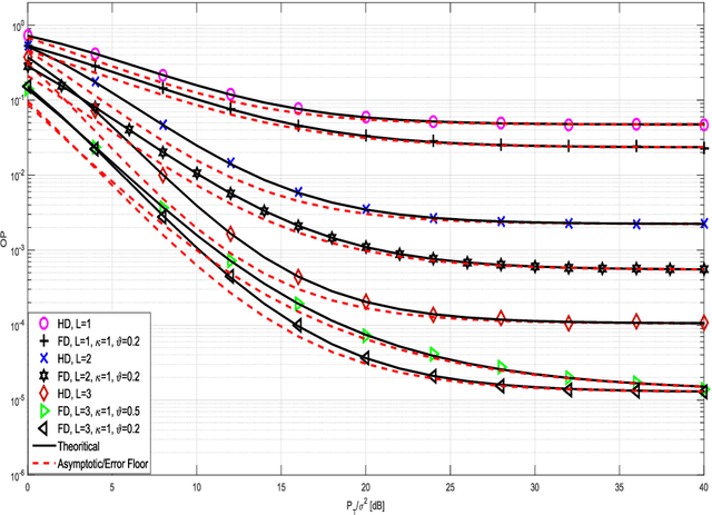
Abstract:In this work, a non-orthogonal multiple access (NOMA) based transmission between two sources and two end-users is examined over independent non-identically distributed (i.n.i.d.) slow Nakagami-$m$ fading channels, where a single relay using decode-and-forward (DF) protocol is selected out of a set of full-duplex/half-duplex (FD/HD) multiple relays in accordance with the quality of service criterion. Two relay selection (RS) strategies, selecting a relay to maximize data rate of user 1 at selected relay and selecting a relay out of a set of relays providing service quality for user 1 to maximize data rate of user 2, are analyzed. Additionally, not only perfect successive interference cancellation (pSIC) but also imperfect SIC (ipSIC) is considered. The exact and asymptotic outage probability (OP) expressions are derived and validated via Monte Carlo simulation technique. Unlike existing works, our expressions are unique and valid for all cases such as FD and HD together with pSIC and ipSIC, i.e. expressions are not given separately but in a single compact form. Effect of each component such as pSIC, ipSIC, and self-interference (SI) for FD transmission on error floor of OP is demonstrated. Moreover, the optimum relay location is illustrated for a plenty of scenarios consisting of combination of different power allocations, data rates, pSIC/ipSIC, and total transmitted powers.