



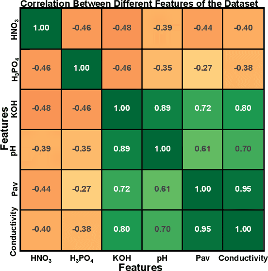
Abstract:Soil macronutrients, particularly potassium ions (K$^+$), are indispensable for plant health, underpinning various physiological and biological processes, and facilitating the management of both biotic and abiotic stresses. Deficient macronutrient content results in stunted growth, delayed maturation, and increased vulnerability to environmental stressors, thereby accentuating the imperative for precise soil nutrient monitoring. Traditional techniques such as chemical assays, atomic absorption spectroscopy, inductively coupled plasma optical emission spectroscopy, and electrochemical methods, albeit advanced, are prohibitively expensive and time-intensive, thus unsuitable for real-time macronutrient assessment. In this study, we propose an innovative soil testing protocol utilizing a dataset derived from synthetic solutions to model soil behaviour. The dataset encompasses physical properties including conductivity and pH, with a concentration on three key macronutrients: nitrogen (N), phosphorus (P), and potassium (K). Four machine learning algorithms were applied to the dataset, with random forest regressors and neural networks being selected for the prediction of soil nutrient concentrations. Comparative analysis with laboratory soil testing results revealed prediction errors of 23.6% for phosphorus and 16% for potassium using the random forest model, and 26.3% for phosphorus and 21.8% for potassium using the neural network model. This methodology illustrates a cost-effective and efficacious strategy for real-time soil nutrient monitoring, offering substantial advancements over conventional techniques and enhancing the capability to sustain optimal nutrient levels conducive to robust crop growth.