George Green Institute for Electromagnetics Research-GGIEMR, the University of Nottingham, UK
Abstract:This paper presents a comparative analysis of long-term evolution advanced (LTE-A) and fifth-generation new radio (5G-NR), focusing on the effects of Transient Electromagnetic Interference (EMI) caused by catenary-pantograph contact in a railway environment. We developed a software-defined radio (SDR)-based prototype for the performance evaluation of LTE-A and 5G-NR links in the presence of transient interference. The results show that both links experience considerable degradation due to interference at different center frequencies. Performance degradation is proportional to the gain of interference. The measurement results show that both links experience considerable performance degradation in the presence of transient EM interference.




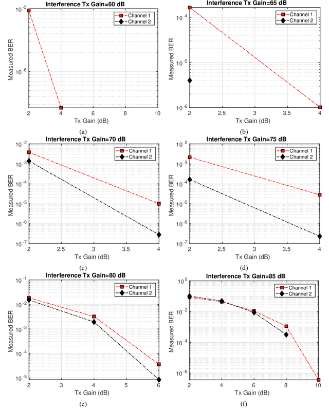
Abstract:In this work, we present a 2x2 near-field multi-input multiple-output (MIMO) prototype for bit-error-rate (BER) and error vector magnitude (EVM) measurements in a metal enclosure. The near-field MIMO prototype is developed using software-defined-radios (SDRs) for over-the-air transmission of QPSK modulated baseband waveforms. We check the near-field MIMO BER and EVM measurements in three different scenarios in a highly reflecting metal enclosure environment. In the first scenario, the line-of-sight (LOS) communication link is investigated when the mode-stirrer is stationary. In stationary channel conditions near-field MIMO BER and EVM measurements are performed. In the second scenario, BER and EVM measurements are performed in dynamic channel conditions when the mode-stirrer is set to move continuously. In the third scenario, LOS communication near-field MIMO BER and EVM measurements are performed in stationary channel conditions but now in the presence of MIMO interference. In three different scenarios, near-field MIMO BER and EVM measurements are investigated at different Tx USRP gain values and in the presence of varying levels of MIMO interference.




Abstract:The fifth generating (5G) of wireless networks will be more adaptive and heterogeneous. Reconfigurable intelligent surface technology enables the 5G to work on multistrand waveforms. However, in such a dynamic network, the identification of specific modulation types is of paramount importance. We present a RIS-assisted digital classification method based on artificial intelligence. We train a convolutional neural network to classify digital modulations. The proposed method operates and learns features directly on the received signal without feature extraction. The features learned by the convolutional neural network are presented and analyzed. Furthermore, the robust features of the received signals at a specific SNR range are studied. The accuracy of the proposed classification method is found to be remarkable, particularly for low levels of SNR.




Abstract:We exploit multi-path fading propagation to improve both the signal-to-interference-plus-noise-ratio and the stability of wireless communications within electromagnetic environments that support rich multipath propagation. Quasi-passive propagation control with multiple binary reconfigurable intelligent surfaces is adopted to control the stationary waves supported by a metallic cavity hosting a software-defined radio link. Results are demonstrated in terms of the error vector magnitude minimization of a quadrature phase-shift modulation scheme under no-line-of-sight conditions. It is found that the magnitude of fluctuation of received symbols is reduced to a stable constellation by increasing the number of individual surfaces, or elements, thus demonstrating channel hardening. By using a second software-defined radio device as a jammer, we demonstrate the ability of the RIS to mitigate the co-channel interference by channel hardening. Results are of particular interest in smart radio environments for mobile network architectures beyond 5G.




Abstract:In this work, we present reconfigurable intelligent surface (RIS)-assisted optimization of the multiple links in the same indoor environment. Multiple RISs from different operators can co-exists and handle independent robust communication links in the same indoor environment. We investigated the key performance metrics with the help of two simultaneously operating RIS-empowered robust communication links at different center frequencies in the same indoor environment. We found with the help of bit error rate (BER) and error vector magnitude (EVM) measurements that two operators can co-exist in the same RF environment without seriously impacting quality of service of users.




Abstract:Bluetooth Low Energy (BLE) is a short-range data transmission technology that is used for multimedia file sharing, home automation, and internet-of-things application. In this work, we perform packet error rate (PER) measurement and RF testing of BLE receiver in the harsh electromagnetic environment and in presence of RF interference. We check the PER performance in the line-of-sight (LOS) and non-line-of-sight (NLOS) scenario in absence of any interfering signal and in presence of wideband WLAN interference. The BLE PER measurements are conducted in a large reverberation chamber which is a rich scattering environment. Software-defined-radio has been used to create BLE communication link for PER measurement in LOS and NLOS configuration. The BLE PER is measured both in the presence and in absence of WLAN interference. Our measurement results show a higher PER for uncoded BLE PHY modes in NLOS channel condition and in presence of wideband interference. Whereas coded BLE PHY modes i.e. LE500K and LE125K are robust to interference with lower PER measurements.




Abstract:In this work, we present near-field image transmission and error vector magnitude measurement in a rich scattering environment in a metal enclosure. We check the effect of loading metal enclosure on the performance of SDR based near-field communication link. We focus on the key communication receiver parameters to observe the effect of near-field link in presence of rich-scattering and in presence of loading with RF absorber cones. The near-field performance is measured by transmitting wideband OFDM-modulated packets containing image information. Our finding suggests that the performance of OFDM based wideband near-field communication improves when the metal enclosure is loaded with RF absorbers. Near-field EVM improves when the enclosure is loaded with RF absorber cones. Loading of the metal enclosure has the effect of increased coherence bandwidth. Frequency selectivity was observed in an empty enclosure which suggests coherence bandwidth less than the signal bandwidth.




Abstract:We present the statistical characterization of a 2x2 Multiple-Input Multiple-Output wireless link operated in a mode-stirred enclosure, with channel state information available only at the receiver (agnostic transmitter). Our wireless channel measurements are conducted in absence of line of sight and varying the inter-element spacing between the two antenna elements in both the transmit and receive array. The mode-stirred cavity is operated: i) at a low number of stirrer positions to create statistical inhomogeneity; ii) at two different loading conditions, empty and with absorbers, in order to mimic a wide range of realistic equipment level enclosures. Our results show that two parallel channels are obtained within the confined space at both the operating conditions. The statistical characterization of the wireless channel is presented in terms of coherence bandwidth, path loss, delay spread and Rician factor, and wideband channel capacity. It is found that the severe multipath fading supported by a highly reflecting environment creates unbalance between the two Multiple-Input Multiple-Output channels, even in presence of substantial losses. Furthermore, the channel capacity has a multi-modal distribution whose average and variance scale monotonically with the number of absorbers. Results are of interest in IoT devices, including wireless chip-to-chip and device-to-device communications, operating in highly reflective environments.