



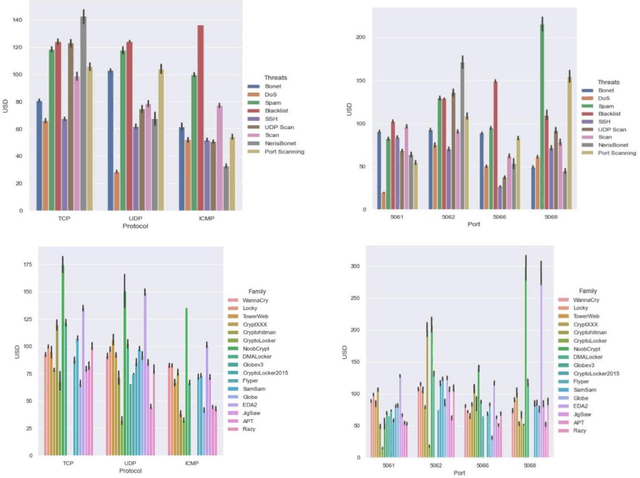
Abstract:The aim of this study is to propose and evaluate an advanced ransomware detection and classification method that combines a Stacked Autoencoder (SAE) for precise feature selection with a Long Short Term Memory (LSTM) classifier to enhance ransomware stratification accuracy. The proposed approach involves thorough pre processing of the UGRansome dataset and training an unsupervised SAE for optimal feature selection or fine tuning via supervised learning to elevate the LSTM model's classification capabilities. The study meticulously analyzes the autoencoder's learned weights and activations to identify essential features for distinguishing ransomware families from other malware and creates a streamlined feature set for precise classification. Extensive experiments, including up to 400 epochs and varying learning rates, are conducted to optimize the model's performance. The results demonstrate the outstanding performance of the SAE-LSTM model across all ransomware families, boasting high precision, recall, and F1 score values that underscore its robust classification capabilities. Furthermore, balanced average scores affirm the proposed model's ability to generalize effectively across various malware types. The proposed model achieves an exceptional 99% accuracy in ransomware classification, surpassing the Extreme Gradient Boosting (XGBoost) algorithm primarily due to its effective SAE feature selection mechanism. The model also demonstrates outstanding performance in identifying signature attacks, achieving a 98% accuracy rate.




Abstract:Zero-day attack detection plays a critical role in mitigating risks, protecting assets, and staying ahead in the evolving threat landscape. This study explores the application of stacked autoencoder (SAE), a type of artificial neural network, for feature selection and zero-day threat classification using a Long Short-Term Memory (LSTM) scheme. The process involves preprocessing the UGRansome dataset and training an unsupervised SAE for feature extraction. Finetuning with supervised learning is then performed to enhance the discriminative capabilities of this model. The learned weights and activations of the autoencoder are analyzed to identify the most important features for discriminating between zero-day threats and normal system behavior. These selected features form a reduced feature set that enables accurate classification. The results indicate that the SAE-LSTM performs well across all three attack categories by showcasing high precision, recall, and F1 score values, emphasizing the model's strong predictive capabilities in identifying various types of zero-day attacks. Additionally, the balanced average scores of the SAE-LSTM suggest that the model generalizes effectively and consistently across different attack categories.