



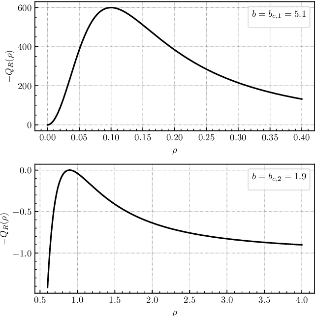
Abstract:The recent increase in computational resources and data availability has led to a significant rise in the use of Machine Learning (ML) techniques for data analysis in physics. However, the application of ML methods to solve differential equations capable of describing even complex physical systems is not yet fully widespread in theoretical high-energy physics. Hamiltonian Neural Networks (HNNs) are tools that minimize a loss function defined to solve Hamilton equations of motion. In this work, we implement several HNNs trained to solve, with high accuracy, the Hamilton equations for a massless probe moving inside a smooth and horizonless geometry known as D1-D5 circular fuzzball. We study both planar (equatorial) and non-planar geodesics in different regimes according to the impact parameter, some of which are unstable. Our findings suggest that HNNs could eventually replace standard numerical integrators, as they are equally accurate but more reliable in critical situations.