



Abstract:We propose to formulate point cloud extraction from ultrasound volumes as an image segmentation problem. Through this convenient formulation, a quick prototype exploring various variants of the Residual Network, U-Net, and the Squeeze and Excitation Network was developed and evaluated. This report documents the experimental results compiled using a training dataset of five labeled ultrasound volumes and 84 unlabeled volumes that got completed in a two-week period as part of a submission to the open challenge "3D Surface Mesh Estimation for CVPR workshop on Deep Learning in Ultrasound Image Analysis". Based on external evaluation performed by the challenge's organizers, the framework came first place on the challenge's \href{https://www.cvpr2023-dl-ultrasound.com/}{Leaderboard}. Source code is shared with the research community at a \href{https://github.com/lisatwyw/smrvis}{public repository}.




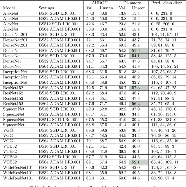
Abstract:Ground-glass opacity is a hallmark of numerous lung diseases, including patients with COVID19 and pneumonia, pulmonary fibrosis, and tuberculosis. This brief note presents experimental results of a proof-of-concept framework that got implemented and tested over three days as driven by the third challenge entitled "COVID-19 Competition", hosted at the AI-Enabled Medical Image Analysis Workshop of the 2023 IEEE International Conference on Acoustics, Speech and Signal Processing (ICASSP 2023). Using a newly built virtual environment (created on March 17, 2023), we investigated various pre-trained two-dimensional convolutional neural networks (CNN) such as Dense Neural Network, Residual Neural Networks (ResNet), and Vision Transformers, as well as the extent of fine-tuning. Based on empirical experiments, we opted to fine-tune them using ADAM's optimization algorithm with a standard learning rate of 0.001 for all CNN architectures and apply early-stopping whenever the validation loss reached a plateau. For each trained CNN, the model state with the best validation accuracy achieved during training was stored and later reloaded for new classifications of unseen samples drawn from the validation set provided by the challenge organizers. According to the organizers, few of these 2D CNNs yielded performance comparable to an architecture that combined ResNet and Recurrent Neural Network (Gated Recurrent Units). As part of the challenge requirement, the source code produced during the course of this exercise is posted at https://github.com/lisatwyw/cov19. We also hope that other researchers may find this light prototype consisting of few Python files based on PyTorch 1.13.1 and TorchVision 0.14.1 approachable.