Abstract:In this paper, we present a novel approach to accelerate the Bayesian inference process, focusing specifically on the nested sampling algorithms. Bayesian inference plays a crucial role in cosmological parameter estimation, providing a robust framework for extracting theoretical insights from observational data. However, its computational demands can be substantial, primarily due to the need for numerous likelihood function evaluations. Our proposed method utilizes the power of deep learning, employing feedforward neural networks to approximate the likelihood function dynamically during the Bayesian inference process. Unlike traditional approaches, our method trains neural networks on-the-fly using the current set of live points as training data, without the need for pre-training. This flexibility enables adaptation to various theoretical models and datasets. We perform simple hyperparameter optimization using genetic algorithms to suggest initial neural network architectures for learning each likelihood function. Once sufficient accuracy is achieved, the neural network replaces the original likelihood function. The implementation integrates with nested sampling algorithms and has been thoroughly evaluated using both simple cosmological dark energy models and diverse observational datasets. Additionally, we explore the potential of genetic algorithms for generating initial live points within nested sampling inference, opening up new avenues for enhancing the efficiency and effectiveness of Bayesian inference methods.




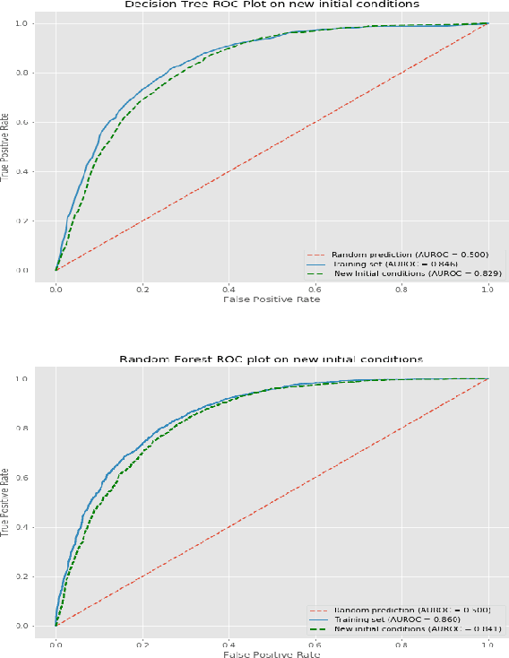
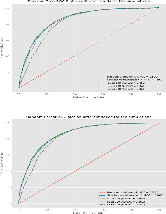
Abstract:The properties of the matter density field present in the initial conditions of a cosmological simulation have an impact on the features of the structures formed after running the simulation. Based on this fact, in this paper we use a random-forest classification algorithm to infer whether or not dark matter particles, traced back to the initial conditions, would end up in dark matter halos whose mass is above some threshold. This problem might be posed as a binary classification task, where the initial conditions of the matter density field are mapped to classification labels provided by a halo finder program. Our results show that random forests are useful tools to predict the output of cosmological simulations without running the full process. These techniques might be used in the future to save computational costs and to explore more efficiently the effect of different dark matter/dark energy candidates on the formation of cosmological structures.