



Abstract:This contribution introduces a dataset of 7th-order Ambisonic Room Impulse Responses (HOA-RIRs), created using the Image Source Method. By employing higher-order Ambisonics, our dataset enables precise spatial audio reproduction, a critical requirement for realistic immersive audio applications. Leveraging the virtual simulation, we present a unique microphone configuration, based on the superposition principle, designed to optimize sound field coverage while addressing the limitations of traditional microphone arrays. The presented 64-microphone configuration allows us to capture RIRs directly in the Spherical Harmonics domain. The dataset features a wide range of room configurations, encompassing variations in room geometry, acoustic absorption materials, and source-receiver distances. A detailed description of the simulation setup is provided alongside for an accurate reproduction. The dataset serves as a vital resource for researchers working on spatial audio, particularly in applications involving machine learning to improve room acoustics modeling and sound field synthesis. It further provides a very high level of spatial resolution and realism crucial for tasks such as source localization, reverberation prediction, and immersive sound reproduction.




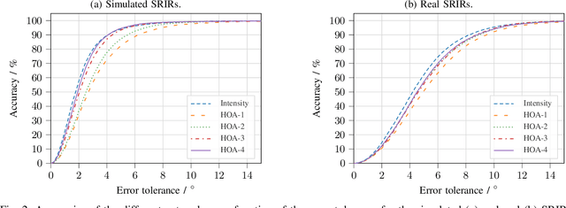
Abstract:Training convolutional recurrent neural networks on first-order Ambisonics signals is a well-known approach when estimating the direction of arrival for speech/sound signals. In this work, we investigate whether increasing the order of Ambisonics up to the fourth order further improves the estimation performance of convolutional recurrent neural networks. While our results on data based on simulated spatial room impulse responses show that the use of higher Ambisonics orders does have the potential to provide better localization results, no further improvement was shown on data based on real spatial room impulse responses from order two onwards. Rather, it seems to be crucial to extract meaningful features from the raw data. First order features derived from the acoustic intensity vector were superior to pure higher-order magnitude and phase features in almost all scenarios.




Abstract:This paper presents a novel autonomous quality metric to quantify the rehabilitations progress of subjects with knee/hip operations. The presented method supports digital analysis of human gait patterns using smartphones. The algorithm related to the autonomous metric utilizes calibrated acceleration, gyroscope and magnetometer signals from seven Inertial Measurement Unit attached on the lower body in order to classify and generate the grading system values. The developed Android application connects the seven Inertial Measurement Units via Bluetooth and performs the data acquisition and processing in real-time. In total nine features per acceleration direction and lower body joint angle are calculated and extracted in real-time to achieve a fast feedback to the user. We compare the classification accuracy and quantification capabilities of Linear Discriminant Analysis, Principal Component Analysis and Naive Bayes algorithms. The presented system is able to classify patients and control subjects with an accuracy of up to 100\%. The outcomes can be saved on the device or transmitted to treating physicians for later control of the subject's improvements and the efficiency of physiotherapy treatments in motor rehabilitation. The proposed autonomous quality metric solution bears great potential to be used and deployed to support digital healthcare and therapy.




Abstract:This paper presents a robust signal classification scheme for achieving comprehensive spectrum sensing of multiple coexisting wireless systems. It is built upon a group of feature-based signal detection algorithms enhanced by the proposed dimension cancelation (DIC) method for mitigating the noise uncertainty problem. The classification scheme is implemented on our testbed consisting real-world wireless devices. The simulation and experimental performances agree with each other well and shows the effectiveness and robustness of the proposed scheme.