Picture for Hamed Balogun

Hamed Balogun

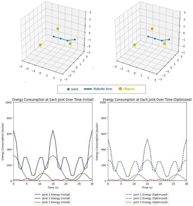
Energy Consumption of Robotic Arm with the Local Reduction Method

Add code
Mar 06, 2025
Figure 1 for Energy Consumption of Robotic Arm with the Local Reduction Method
Figure 2 for Energy Consumption of Robotic Arm with the Local Reduction Method
Figure 3 for Energy Consumption of Robotic Arm with the Local Reduction Method
Figure 4 for Energy Consumption of Robotic Arm with the Local Reduction Method
Viaarxiv icon