



Abstract:We analyse the performance of a reconfigurable intelligent surface (RIS) aided system where the RIS is divided into subsurfaces. Each subsurface is designed specifically for one user, who is served on their own frequency band. The other subsurfaces (those not designed for this user) provide additional uncontrolled scattering. We derive the exact closed-form expression for the mean signal-to-noise ratio (SNR) of the subsurface design (SD) when all channels experience correlated Ricean fading. We simplify this to find the mean SNR for line-of-sight (LoS) channels and channels experiencing correlated Rayleigh fading. An iterative SD (ISD) process is proposed, where subsurfaces are designed sequentially, and the phases that are already set are used to enhance the design of the remaining subsurfaces. This is extended to a converged ISD (CISD), where the ISD process is repeated multiple times until the SNR increases by less than a specified tolerance. The ISD and CISD both provide a performance improvement over SD, which increases as the number of RIS elements (N) increases. The SD is significantly simpler than the lowest complexity multi-user (MU) method we know of, and despite each user having less bandwidth, the SD outperforms the existing method in some key scenarios. The SD is more robust to strongly LoS channels and clustered users, as it does not rely on spatial multiplexing like other MU methods. Combined with the complexity reduction, this makes the SD an attractive phase selection method.




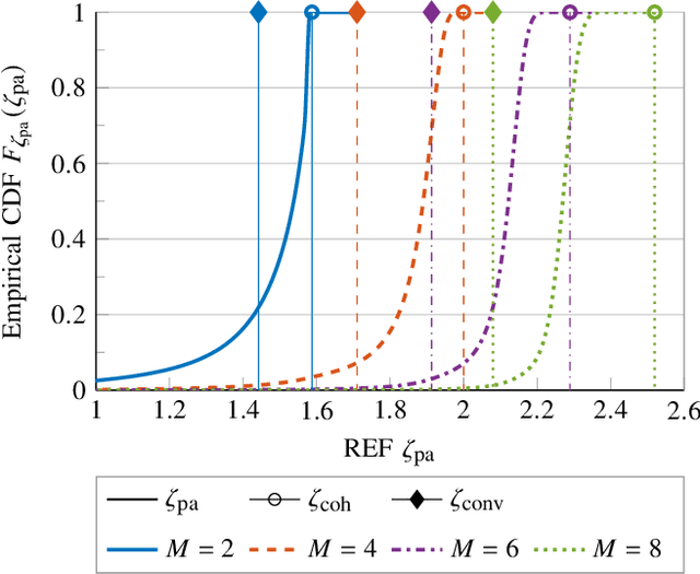
Abstract:In harmonic radar (HR), the radio frequency transmitter illuminates a nonlinear target (the tag), causing the return signal to consist of harmonics at multiples of the transmitted carrier frequency. Of them, the second harmonic is usually the strongest and the one to which the receiver is tuned. This frequency difference distinguishes the tag reflection from environmental clutter, which remains at the uplink (transmitter to tag) frequency. However, the passive nature of HR tags severely limits the reflected power, and therefore the range of the downlink (tag to receiver) path. We propose to increase the range and/or signal to noise ratio (SNR) by novel restructuring at the physical and signal levels. For this, we accompany the original transmitter with auxiliary transmitters able to send simple tones that are synchronized to arrive at the tag in phase, and we design the receiver to detect an intermodulation component. The resulting range and SNR are much greater than those of the original, conventional HR system, and greater even than if the original system were to transmit with power equal to the aggregate power of our new system. Achieving mutually coherent, i.e., in phase, arrival of the tones at the tag is the focus of the present paper. We provide a system framework that models the tag and the uplink and downlink, then present the adaptive phase coherence algorithm and analyze the probabilistic growth of the output signal power. We also account for the effects of frequency shifts due to transmitter mobility and the frequency offset errors in the transmitter local oscillators.