



Abstract:This paper presents a novel approach for the preliminary design of Low-Thrust, many-revolution transfers. The main feature of the novel approach is a considerable reduction in the control parameters and a consequent gain in computational speed. Each spiral is built by using a predefined pattern for thrust direction and switching structure. The pattern is then optimised to minimise propellant consumption and transfer time. The variation of the orbital elements due to the thrust is computed analytically from a first-order solution of the perturbed Keplerian motion. The proposed approach allows for a realistic estimation of {\Delta}V and time of flight required to transfer a spacecraft between two arbitrary orbits. Eccentricity and plane changes are both accounted for. The novel approach is applied here to the design of missions for the removal of space debris by means of an Ion Beam Shepherd Spacecraft. In particular, two slightly different variants of the proposed low-thrust control model are used for the different phases of the mission. Thanks to their low computational cost they can be included in a multiobjective optimisation problem in which the sequence and timing of the removal of five pieces of debris are optimised to minimise propellant consumption and mission duration.




Abstract:This paper presents a novel approach to the robust design of deflection actions for Near Earth Objects (NEO). In particular, the case of deflection by means of Solar-pumped Laser ablation is studied here in detail. The basic idea behind Laser ablation is that of inducing a sublimation of the NEO surface, which produces a low thrust thereby slowly deviating the asteroid from its initial Earth threatening trajectory. This work investigates the integrated design of the Space-based Laser system and the deflection action generated by laser ablation under uncertainty. The integrated design is formulated as a multi-objective optimisation problem in which the deviation is maximised and the total system mass is minimised. Both the model for the estimation of the thrust produced by surface laser ablation and the spacecraft system model are assumed to be affected by epistemic uncertainties (partial or complete lack of knowledge). Evidence Theory is used to quantify these uncertainties and introduce them in the optimisation process. The propagation of the trajectory of the NEO under the laser-ablation action is performed with a novel approach based on an approximated analytical solution of Gauss' Variational Equations. An example of design of the deflection of asteroid Apophis with a swarm of spacecraft is presented.




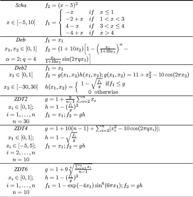
Abstract:This paper presents an algorithm for multiobjective optimization that blends together a number of heuristics. A population of agents combines heuristics that aim at exploring the search space both globally and in a neighborhood of each agent. These heuristics are complemented with a combination of a local and global archive. The novel agent- based algorithm is tested at first on a set of standard problems and then on three specific problems in space trajectory design. Its performance is compared against a number of state-of-the-art multiobjective optimisation algorithms that use the Pareto dominance as selection criterion: NSGA-II, PAES, MOPSO, MTS. The results demonstrate that the agent-based search can identify parts of the Pareto set that the other algorithms were not able to capture. Furthermore, convergence is statistically better although the variance of the results is in some cases higher.