



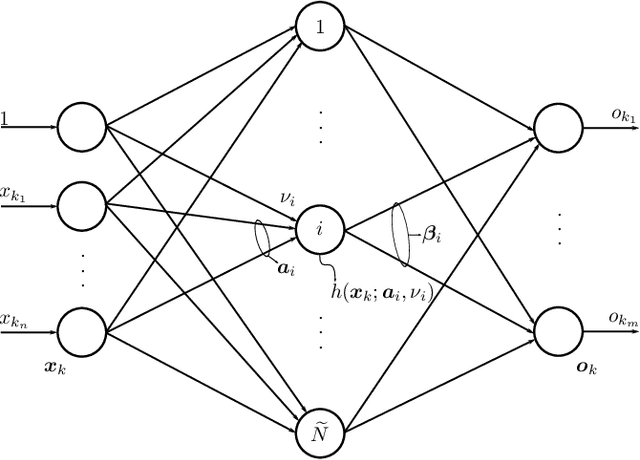
Abstract:The popularity of algorithms based on Extreme Learning Machine (ELM), which can be used to train Single Layer Feedforward Neural Networks (SLFN), has increased in the past years. They have been successfully applied to a wide range of classification and regression tasks. The most commonly used methods are the ones based on minimizing the $\ell_2$ norm of the error, which is not suitable to deal with outliers, essentially in regression tasks. The use of $\ell_1$ norm was proposed in Outlier Robust ELM (OR-ELM), which is defined to one-dimensional outputs. In this paper, we generalize OR-ELM to deal with multi-target regression problems, using the error $\ell_{2,1}$ norm and the Elastic Net theory, which can result in a more sparse network, resulting in our method, Generalized Outlier Robust ELM (GOR-ELM). We use Alternating Direction Method of Multipliers (ADMM) to solve the resulting optimization problem. An incremental version of GOR-ELM is also proposed. We chose 15 public real-world multi-target regression datasets to test our methods. Our conducted experiments show that they are statistically better than other ELM-based techniques, when considering data contaminated with outliers, and equivalent to them, otherwise.




Abstract:This paper uses robust statistics and curvelet transform to learn a general-purpose no-reference (NR) image quality assessment (IQA) model. The new approach, here called M1, competes with the Curvelet Quality Assessment proposed in 2014 (Curvelet2014). The central idea is to use descriptors based on robust statistics to extract features and predict the human opinion about degraded images. To show the consistency of the method the model is tested with 3 different datasets, LIVE IQA, TID2013 and CSIQ. To test evaluation, it is used the Wilcoxon test to verify the statistical significance of results and promote an accurate comparison between new model M1 and Curvelet2014. The results show a gain when robust statistics are used as descriptor.