Picture for Elsa Riachi

Elsa Riachi

Challenges for Reinforcement Learning in Healthcare

Add code
Mar 09, 2021
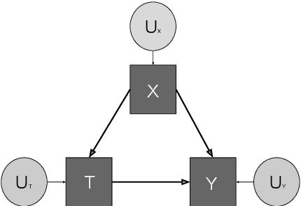
Figure 1 for Challenges for Reinforcement Learning in Healthcare
Figure 2 for Challenges for Reinforcement Learning in Healthcare
Figure 3 for Challenges for Reinforcement Learning in Healthcare
Viaarxiv icon