Abstract:Weight-only quantization has become a standard approach for efficiently serving large language models (LLMs). However, existing methods fail to efficiently compress models to binary (1-bit) levels, as they either require large amounts of data and compute or incur additional storage. In this work, we propose NanoQuant, the first post-training quantization (PTQ) method to compress LLMs to both binary and sub-1-bit levels. NanoQuant formulates quantization as a low-rank binary factorization problem, and compresses full-precision weights to low-rank binary matrices and scales. Specifically, it utilizes an efficient alternating direction method of multipliers (ADMM) method to precisely initialize latent binary matrices and scales, and then tune the initialized parameters through a block and model reconstruction process. Consequently, NanoQuant establishes a new Pareto frontier in low-memory post-training quantization, achieving state-of-the-art accuracy even at sub-1-bit compression rates. NanoQuant makes large-scale deployment feasible on consumer hardware. For example, it compresses Llama2-70B by 25.8$\times$ in just 13 hours on a single H100, enabling a 70B model to operate on a consumer 8 GB GPU.
Abstract:Efficient deployment of large language models (LLMs) requires extreme quantization, forcing a critical trade-off between low-bit efficiency and performance. Residual binarization enables hardware-friendly, matmul-free inference by stacking binary ($\pm$1) layers, but is plagued by pathological feature co-adaptation. We identify a key failure mode, which we term inter-path adaptation: during quantization-aware training (QAT), parallel residual binary paths learn redundant features, degrading the error-compensation structure and limiting the expressive capacity of the model. While prior work relies on heuristic workarounds (e.g., path freezing) that constrain the solution space, we propose RaBiT, a novel quantization framework that resolves co-adaptation by algorithmically enforcing a residual hierarchy. Its core mechanism sequentially derives each binary path from a single shared full-precision weight, which ensures that every path corrects the error of the preceding one. This process is stabilized by a robust initialization that prioritizes functional preservation over mere weight approximation. RaBiT redefines the 2-bit accuracy-efficiency frontier: it achieves state-of-the-art performance, rivals even hardware-intensive Vector Quantization (VQ) methods, and delivers a $4.49\times$ inference speed-up over full-precision models on an RTX 4090.
Abstract:Using LLMs (Large Language Models) in conjunction with external documents has made RAG (Retrieval-Augmented Generation) an essential technology. Numerous techniques and modules for RAG are being researched, but their performance can vary across different datasets. Finding RAG modules that perform well on specific datasets is challenging. In this paper, we propose the AutoRAG framework, which automatically identifies suitable RAG modules for a given dataset. AutoRAG explores and approximates the optimal combination of RAG modules for the dataset. Additionally, we share the results of optimizing a dataset using AutoRAG. All experimental results and data are publicly available and can be accessed through our GitHub repository https://github.com/Marker-Inc-Korea/AutoRAG_ARAGOG_Paper .
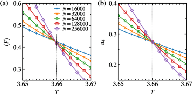
Abstract:We investigate quantum phase transitions in the transverse field Ising chain with algebraically decaying long-range antiferromagnetic interactions by using the variational Monte Carlo method with the restricted Boltzmann machine being employed as a trial wave function ansatz. In the finite-size scaling analysis with the order parameter and the second R\'enyi entropy, we find that the central charge deviates from 1/2 at a small decay exponent $\alpha_\mathrm{LR}$ in contrast to the critical exponents staying very close to the short-range (SR) Ising values regardless of $\alpha_\mathrm{LR}$ examined, supporting the previously proposed scenario of conformal invariance breakdown. To identify the threshold of the Ising universality and the conformal symmetry, we perform two additional tests for the universal Binder ratio and the conformal field theory (CFT) description of the correlation function. It turns out that both indicate a noticeable deviation from the SR Ising class at $\alpha_\mathrm{LR} < 2$. However, a closer look at the scaled correlation function for $\alpha_\mathrm{LR} \ge 2$ shows a gradual change from the asymptotic line of the CFT verified at $\alpha_\mathrm{LR} = 3$, providing a rough estimate of the threshold being in the range of $2 \lesssim \alpha_\mathrm{LR} < 3$.




Abstract:We investigate the connection between the supervised learning of the binary phase classification in the ferromagnetic Ising model and the standard finite-size-scaling theory of the second-order phase transition. Proposing a minimal one-free-parameter neural network model, we analytically formulate the supervised learning problem for the canonical ensemble being used as a training data set. We show that just one free parameter is capable enough to describe the data-driven emergence of the universal finite-size-scaling function in the network output that is observed in a large neural network, theoretically validating its critical point prediction for unseen test data from different underlying lattices yet in the same universality class of the Ising criticality. We also numerically demonstrate the interpretation with the proposed one-parameter model by providing an example of finding a critical point with the learning of the Landau mean-field free energy being applied to the real data set from the uncorrelated random scale-free graph with a large degree exponent.