



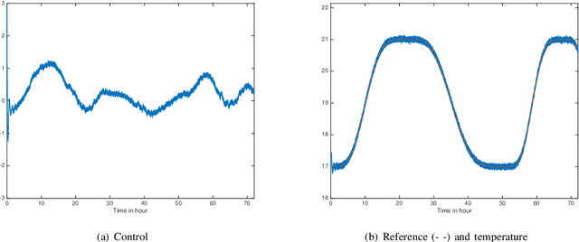
Abstract:The model-based control of building heating systems for energy saving encounters severe physical, mathematical and calibration difficulties in the numerous attempts that has been published until now. This topic is addressed here via a new model-free control setting, where the need of any mathematical description disappears. Several convincing computer simulations are presented. Comparisons with classic PI controllers and flatness-based predictive control are provided.