



Abstract:In an evolutionary algorithm, the population has a very important role as its size has direct implications regarding solution quality, speed, and reliability. Theoretical studies have been done in the past to investigate the role of population sizing in evolutionary algorithms. In addition to those studies, several self-adjusting population sizing mechanisms have been proposed in the literature. This paper revisits the latter topic and pays special attention to the genetic algorithm with adaptive population size (APGA), for which several researchers have claimed to be very effective at autonomously (re)sizing the population. As opposed to those previous claims, this paper suggests a complete opposite view. Specifically, it shows that APGA is not capable of adapting the population size at all. This claim is supported on theoretical grounds and confirmed by computer simulations.




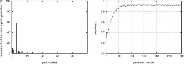
Abstract:This paper looks in detail at how an evolutionary algorithm attempts to solve instances from the multimodal problem generator. The paper shows that in order to consistently reach the global optimum, an evolutionary algorithm requires a population size that should grow at least linearly with the number of peaks. It is also shown a close relationship between the supply and decision making issues that have been identified previously in the context of population sizing models for additively decomposable problems. The most important result of the paper, however, is that solving an instance of the multimodal problem generator is like solving a peak-in-a-haystack, and it is argued that evolutionary algorithms are not the best algorithms for such a task. Finally, and as opposed to what several researchers have been doing, it is our strong belief that the multimodal problem generator is not adequate for assessing the performance of evolutionary algorithms.


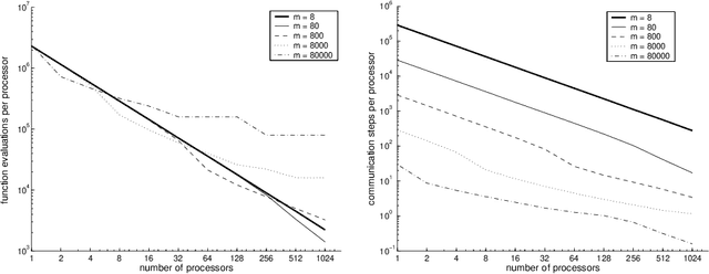
Abstract:This paper presents an architecture which is suitable for a massive parallelization of the compact genetic algorithm. The resulting scheme has three major advantages. First, it has low synchronization costs. Second, it is fault tolerant, and third, it is scalable. The paper argues that the benefits that can be obtained with the proposed approach is potentially higher than those obtained with traditional parallel genetic algorithms. In addition, the ideas suggested in the paper may also be relevant towards parallelizing more complex probabilistic model building genetic algorithms.



Abstract:This paper presents a parameter-less optimization framework that uses the extended compact genetic algorithm (ECGA) and iterated local search (ILS), but is not restricted to these algorithms. The presented optimization algorithm (ILS+ECGA) comes as an extension of the parameter-less genetic algorithm (GA), where the parameters of a selecto-recombinative GA are eliminated. The approach that we propose is tested on several well known problems. In the absence of domain knowledge, it is shown that ILS+ECGA is a robust and easy-to-use optimization method.