



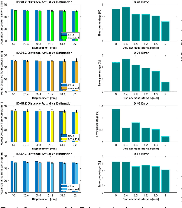
Abstract:In this paper, with the goal of quantifying the qualitative image outputs of a Vision-based Tactile Sensor (VTS), we present the design, fabrication, and characterization of a novel Quantitative Surface Tactile Sensor (called QS-TS). QS-TS directly estimates the sensor's gel layer deformation in real-time enabling safe and autonomous tactile manipulation and servoing of delicate objects using robotic manipulators. The core of the proposed sensor is the utilization of miniature 1.5 mm x 1.5 mm synthetic square markers with inner binary patterns and a broad black border, called ArUco Markers. Each ArUco marker can provide real-time camera pose estimation that, in our design, is used as a quantitative measure for obtaining deformation of the QS-TS gel layer. Moreover, thanks to the use of ArUco markers, we propose a unique fabrication procedure that mitigates various challenges associated with the fabrication of the existing marker-based VTSs and offers an intuitive and less-arduous method for the construction of the VTS. Remarkably, the proposed fabrication facilitates the integration and adherence of markers with the gel layer to robustly and reliably obtain a quantitative measure of deformation in real-time regardless of the orientation of ArUco Markers. The performance and efficacy of the proposed QS-TS in estimating the deformation of the sensor's gel layer were experimentally evaluated and verified. Results demonstrate the phenomenal performance of the QS-TS in estimating the deformation of the gel layer with a relative error of <5%.