



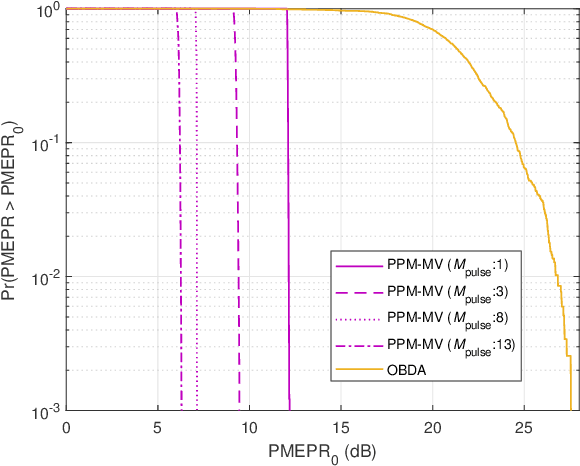
Abstract:In this study, we propose an over-the-air computation (AirComp) scheme for federated edge learning (FEEL) without channel state information (CSI) at the edge devices (EDs) or the edge server (ES). The proposed scheme relies on non-coherent communication techniques for achieving distributed training by majority vote (MV). In this work, the votes, i.e., the signs of the local gradients, from the EDs are represented with the pulse-position modulation (PPM) symbols constructed with discrete Fourier transform (DFT)-spread orthogonal frequency division multiplexing (OFDM) (DFT-s-OFDM). By taking the delay spread and time-synchronization errors into account, the MV at the ES is obtained with an energy detector. Hence, the proposed scheme does not require CSI at the EDs and ES. We also prove the convergence of the distributed training when the MV is obtained with the proposed scheme under fading channel. Through simulations, we show that the proposed scheme provides a high test accuracy in fading channels while resulting in lower peak-to-mean envelope power ratio (PMEPR) symbols.




Abstract:In this study, we propose an over-the-air computation (AirComp) scheme for federated edge learning (FEEL). The proposed scheme relies on the concept of distributed learning by majority vote (MV) with sign stochastic gradient descend (signSGD). As compared to the state-of-the-art solutions, with the proposed method, edge devices (EDs) transmit the signs of local stochastic gradients by activating one of two orthogonal resources, i.e., orthogonal frequency division multiplexing (OFDM) subcarriers, and the MVs at the edge server (ES) are obtained with non-coherent detectors by exploiting the energy accumulations on the subcarriers. Hence, the proposed scheme eliminates the need for channel state information (CSI) at the EDs and ES. By taking path loss, power control, cell size, and the probabilistic nature of the detected MVs in fading channel into account, we prove the convergence of the distributed learning for a non-convex function. Through simulations, we show that the proposed scheme can provide a high test accuracy in fading channels even when the time-synchronization and the power alignment at the ES are not ideal. We also provide insight into distributed learning for location-dependent data distribution for the MV-based schemes.