



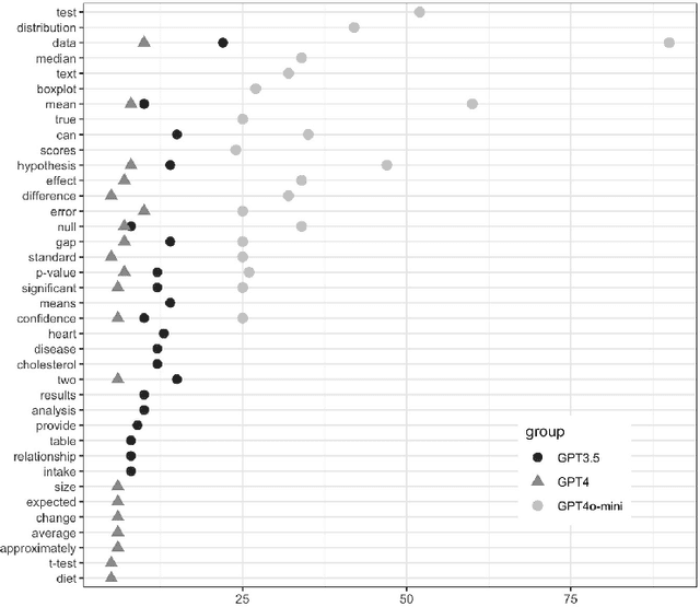
Abstract:Many believe that use of generative AI as a private tutor has the potential to shrink access and achievement gaps between students and schools with abundant resources versus those with fewer resources. Shrinking the gap is possible only if paid and free versions of the platforms perform with the same accuracy. In this experiment, we investigate the performance of GPT versions 3.5, 4.0, and 4o-mini on the same 16-question statistics exam given to a class of first-year graduate students. While we do not advocate using any generative AI platform to complete an exam, the use of exam questions allows us to explore aspects of ChatGPT's responses to typical questions that students might encounter in a statistics course. Results on accuracy indicate that GPT 3.5 would fail the exam, GPT4 would perform well, and GPT4o-mini would perform somewhere in between. While we acknowledge the existence of other Generative AI/LLMs, our discussion concerns only ChatGPT because it is the most widely used platform on college campuses at this time. We further investigate differences among the AI platforms in the answers for each problem using methods developed for text analytics, such as reading level evaluation and topic modeling. Results indicate that GPT3.5 and 4o-mini have characteristics that are more similar than either of them have with GPT4.
Abstract:A college education historically has been seen as method of moving upward with regards to income brackets and social status. Indeed, many colleges recognize this connection and seek to enroll talented low income students. While these students might have their education, books, room, and board paid; there are other items that they might be expected to use that are not part of most college scholarship packages. One of those items that has recently surfaced is access to generative AI platforms. The most popular of these platforms is ChatGPT, and it has a paid version (ChatGPT4) and a free version (ChatGPT3.5). We seek to explore differences in the free and paid versions in the context of homework questions and data analyses as might be seen in a typical introductory statistics course. We determine the extent to which students who cannot afford newer and faster versions of generative AI programs would be disadvantaged in terms of writing such projects and learning these methods.