



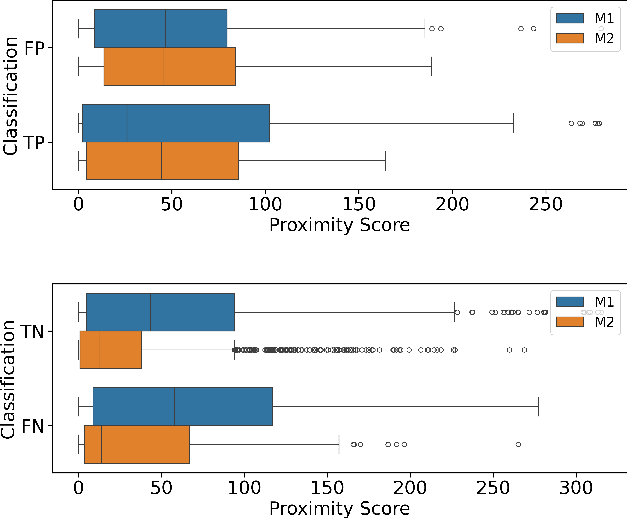
Abstract:Accurate and reliable predictions of solar flares are essential due to their potentially significant impact on Earth and space-based infrastructure. Although deep learning models have shown notable predictive capabilities in this domain, current evaluations often focus on accuracy while neglecting interpretability and reliability--factors that are especially critical in operational settings. To address this gap, we propose a novel proximity-based framework for analyzing post hoc explanations to assess the interpretability of deep learning models for solar flare prediction. Our study compares two models trained on full-disk line-of-sight (LoS) magnetogram images to predict $\geq$M-class solar flares within a 24-hour window. We employ the Guided Gradient-weighted Class Activation Mapping (Guided Grad-CAM) method to generate attribution maps from these models, which we then analyze to gain insights into their decision-making processes. To support the evaluation of explanations in operational systems, we introduce a proximity-based metric that quantitatively assesses the accuracy and relevance of local explanations when regions of interest are known. Our findings indicate that the models' predictions align with active region characteristics to varying degrees, offering valuable insights into their behavior. This framework enhances the evaluation of model interpretability in solar flare forecasting and supports the development of more transparent and reliable operational systems.
Abstract:Traditional solar flare forecasting approaches have mostly relied on physics-based or data-driven models using solar magnetograms, treating flare predictions as a point-in-time classification problem. This approach has limitations, particularly in capturing the evolving nature of solar activity. Recognizing the limitations of traditional flare forecasting approaches, our research aims to uncover hidden relationships and the evolutionary characteristics of solar flares and their source regions. Our previously proposed Sliding Window Multivariate Time Series Forest (Slim-TSF) has shown the feasibility of usage applied on multivariate time series data. A significant aspect of this study is the comparative analysis of our updated Slim-TSF framework against the original model outcomes. Preliminary findings indicate a notable improvement, with an average increase of 5\% in both the True Skill Statistic (TSS) and Heidke Skill Score (HSS). This enhancement not only underscores the effectiveness of our refined methodology but also suggests that our systematic evaluation and feature selection approach can significantly advance the predictive accuracy of solar flare forecasting models.




Abstract:In this paper, we propose a novel loss function aimed at optimizing the binary flare prediction problem by embedding the intrinsic ordinal flare characteristics into the binary cross-entropy (BCE) loss function. This modification is intended to provide the model with better guidance based on the ordinal characteristics of the data and improve the overall performance of the models. For our experiments, we employ a ResNet34-based model with transfer learning to predict $\geq$M-class flares by utilizing the shape-based features of magnetograms of active region (AR) patches spanning from $-$90$^{\circ}$ to $+$90$^{\circ}$ of solar longitude as our input data. We use a composite skill score (CSS) as our evaluation metric, which is calculated as the geometric mean of the True Skill Score (TSS) and the Heidke Skill Score (HSS) to rank and compare our models' performance. The primary contributions of this work are as follows: (i) We introduce a novel approach to encode ordinality into a binary loss function showing an application to solar flare prediction, (ii) We enhance solar flare forecasting by enabling flare predictions for each AR across the entire solar disk, without any longitudinal restrictions, and evaluate and compare performance. (iii) Our candidate model, optimized with the proposed loss function, shows an improvement of $\sim$7%, $\sim$4%, and $\sim$3% for AR patches within $\pm$30$^\circ$, $\pm$60$^\circ$, and $\pm$90$^\circ$ of solar longitude, respectively in terms of CSS, when compared with standard BCE. Additionally, we demonstrate the ability to issue flare forecasts for ARs in near-limb regions (regions between $\pm$60$^{\circ}$ to $\pm$90$^{\circ}$) with a CSS=0.34 (TSS=0.50 and HSS=0.23), expanding the scope of AR-based models for solar flare prediction. This advances the reliability of solar flare forecasts, leading to more effective prediction capabilities.




Abstract:In this paper, we introduce a novel methodology for leveraging shape-based characteristics of magnetograms of active region (AR) patches and provide a novel capability for predicting solar flares covering the entirety of the solar disk (AR patches spanning from -90$^{\circ}$ to +90$^{\circ}$ of solar longitude). We create three deep learning models: (i) ResNet34, (ii) MobileNet, and (iii) MobileViT to predict $\geq$M-class flares and assess the efficacy of these models across various ranges of solar longitude. Given the inherent imbalance in our data, we employ augmentation techniques alongside undersampling during the model training phase, while maintaining imbalanced partitions in the testing data for realistic evaluation. We use a composite skill score (CSS) as our evaluation metric, computed as the geometric mean of the True Skill Score (TSS) and the Heidke Skill Score (HSS) to rank and compare models. The primary contributions of this work are as follows: (i) We introduce a novel capability in solar flare prediction that allows predicting flares for each ARs throughout the solar disk and evaluate and compare the performance, (ii) Our candidate model (MobileNet) achieves a CSS=0.51 (TSS=0.60 and HSS=0.44), CSS=0.51 (TSS=0.59 and HSS=0.44), and CSS=0.48 (TSS=0.56 and HSS=0.40) for AR patches within $\pm$30$^{\circ}$, $\pm$60$^{\circ}$, $\pm$90$^{\circ}$ of solar longitude respectively. Additionally, we demonstrate the ability to issue flare forecasts for ARs in near-limb regions (regions between $\pm$60$^{\circ}$ to $\pm$90 $^{\circ}$) with a CSS=0.39 (TSS=0.48 and HSS=0.32), expanding the scope of AR-based models for solar flare prediction. This advancement opens new avenues for more reliable prediction of solar flares, thereby contributing to improved forecasting capabilities.




Abstract:Over the past few decades, many applications of physics-based simulations and data-driven techniques (including machine learning and deep learning) have emerged to analyze and predict solar flares. These approaches are pivotal in understanding the dynamics of solar flares, primarily aiming to forecast these events and minimize potential risks they may pose to Earth. Although current methods have made significant progress, there are still limitations to these data-driven approaches. One prominent drawback is the lack of consideration for the temporal evolution characteristics in the active regions from which these flares originate. This oversight hinders the ability of these methods to grasp the relationships between high-dimensional active region features, thereby limiting their usability in operations. This study centers on the development of interpretable classifiers for multivariate time series and the demonstration of a novel feature ranking method with sliding window-based sub-interval ranking. The primary contribution of our work is to bridge the gap between complex, less understandable black-box models used for high-dimensional data and the exploration of relevant sub-intervals from multivariate time series, specifically in the context of solar flare forecasting. Our findings demonstrate that our sliding-window time series forest classifier performs effectively in solar flare prediction (with a True Skill Statistic of over 85\%) while also pinpointing the most crucial features and sub-intervals for a given learning task.




Abstract:This study aims to evaluate the performance of deep learning models in predicting $\geq$M-class solar flares with a prediction window of 24 hours, using hourly sampled full-disk line-of-sight (LoS) magnetogram images, particularly focusing on the often overlooked flare events corresponding to the near-limb regions (beyond $\pm$70$^{\circ}$ of the solar disk). We trained three well-known deep learning architectures--AlexNet, VGG16, and ResNet34 using transfer learning and compared and evaluated the overall performance of our models using true skill statistics (TSS) and Heidke skill score (HSS) and computed recall scores to understand the prediction sensitivity in central and near-limb regions for both X- and M-class flares. The following points summarize the key findings of our study: (1) The highest overall performance was observed with the AlexNet-based model, which achieved an average TSS$\sim$0.53 and HSS$\sim$0.37; (2) Further, a spatial analysis of recall scores disclosed that for the near-limb events, the VGG16- and ResNet34-based models exhibited superior prediction sensitivity. The best results, however, were seen with the ResNet34-based model for the near-limb flares, where the average recall was approximately 0.59 (the recall for X- and M-class was 0.81 and 0.56 respectively) and (3) Our research findings demonstrate that our models are capable of discerning complex spatial patterns from full-disk magnetograms and exhibit skill in predicting solar flares, even in the vicinity of near-limb regions. This ability holds substantial importance for operational flare forecasting systems.
Abstract:Solar flare prediction is a central problem in space weather forecasting and recent developments in machine learning and deep learning accelerated the adoption of complex models for data-driven solar flare forecasting. In this work, we developed an attention-based deep learning model as an improvement over the standard convolutional neural network (CNN) pipeline to perform full-disk binary flare predictions for the occurrence of $\geq$M1.0-class flares within the next 24 hours. For this task, we collected compressed images created from full-disk line-of-sight (LoS) magnetograms. We used data-augmented oversampling to address the class imbalance issue and used true skill statistic (TSS) and Heidke skill score (HSS) as the evaluation metrics. Furthermore, we interpreted our model by overlaying attention maps on input magnetograms and visualized the important regions focused on by the model that led to the eventual decision. The significant findings of this study are: (i) We successfully implemented an attention-based full-disk flare predictor ready for operational forecasting where the candidate model achieves an average TSS=0.54$\pm$0.03 and HSS=0.37$\pm$0.07. (ii) we demonstrated that our full-disk model can learn conspicuous features corresponding to active regions from full-disk magnetogram images, and (iii) our experimental evaluation suggests that our model can predict near-limb flares with adept skill and the predictions are based on relevant active regions (ARs) or AR characteristics from full-disk magnetograms.




Abstract:This study progresses solar flare prediction research by presenting a full-disk deep-learning model to forecast $\geq$M-class solar flares and evaluating its efficacy on both central (within $\pm$70$^\circ$) and near-limb (beyond $\pm$70$^\circ$) events, showcasing qualitative assessment of post hoc explanations for the model's predictions, and providing empirical findings from human-centered quantitative assessments of these explanations. Our model is trained using hourly full-disk line-of-sight magnetogram images to predict $\geq$M-class solar flares within the subsequent 24-hour prediction window. Additionally, we apply the Guided Gradient-weighted Class Activation Mapping (Guided Grad-CAM) attribution method to interpret our model's predictions and evaluate the explanations. Our analysis unveils that full-disk solar flare predictions correspond with active region characteristics. The following points represent the most important findings of our study: (1) Our deep learning models achieved an average true skill statistic (TSS) of $\sim$0.51 and a Heidke skill score (HSS) of $\sim$0.38, exhibiting skill to predict solar flares where for central locations the average recall is $\sim$0.75 (recall values for X- and M-class are 0.95 and 0.73 respectively) and for the near-limb flares the average recall is $\sim$0.52 (recall values for X- and M-class are 0.74 and 0.50 respectively); (2) qualitative examination of the model's explanations reveals that it discerns and leverages features linked to active regions in both central and near-limb locations within full-disk magnetograms to produce respective predictions. In essence, our models grasp the shape and texture-based properties of flaring active regions, even in proximity to limb areas -- a novel and essential capability with considerable significance for operational forecasting systems.
Abstract:This paper presents a post hoc analysis of a deep learning-based full-disk solar flare prediction model. We used hourly full-disk line-of-sight magnetogram images and selected binary prediction mode to predict the occurrence of $\geq$M1.0-class flares within 24 hours. We leveraged custom data augmentation and sample weighting to counter the inherent class-imbalance problem and used true skill statistic and Heidke skill score as evaluation metrics. Recent advancements in gradient-based attention methods allow us to interpret models by sending gradient signals to assign the burden of the decision on the input features. We interpret our model using three post hoc attention methods: (i) Guided Gradient-weighted Class Activation Mapping, (ii) Deep Shapley Additive Explanations, and (iii) Integrated Gradients. Our analysis shows that full-disk predictions of solar flares align with characteristics related to the active regions. The key findings of this study are: (1) We demonstrate that our full disk model can tangibly locate and predict near-limb solar flares, which is a critical feature for operational flare forecasting, (2) Our candidate model achieves an average TSS=0.51$\pm$0.05 and HSS=0.38$\pm$0.08, and (3) Our evaluation suggests that these models can learn conspicuous features corresponding to active regions from full-disk magnetograms.
Abstract:This paper contributes to the growing body of research on deep learning methods for solar flare prediction, primarily focusing on highly overlooked near-limb flares and utilizing the attribution methods to provide a post hoc qualitative explanation of the model's predictions. We present a solar flare prediction model, which is trained using hourly full-disk line-of-sight magnetogram images and employs a binary prediction mode to forecast $\geq$M-class flares that may occur within the following 24-hour period. To address the class imbalance, we employ a fusion of data augmentation and class weighting techniques; and evaluate the overall performance of our model using the true skill statistic (TSS) and Heidke skill score (HSS). Moreover, we applied three attribution methods, namely Guided Gradient-weighted Class Activation Mapping, Integrated Gradients, and Deep Shapley Additive Explanations, to interpret and cross-validate our model's predictions with the explanations. Our analysis revealed that full-disk prediction of solar flares aligns with characteristics related to active regions (ARs). In particular, the key findings of this study are: (1) our deep learning models achieved an average TSS=0.51 and HSS=0.35, and the results further demonstrate a competent capability to predict near-limb solar flares and (2) the qualitative analysis of the model explanation indicates that our model identifies and uses features associated with ARs in central and near-limb locations from full-disk magnetograms to make corresponding predictions. In other words, our models learn the shape and texture-based characteristics of flaring ARs even at near-limb areas, which is a novel and critical capability with significant implications for operational forecasting.