Abstract:This paper introduces foundational resources and models for natural language processing (NLP) of historical Turkish, a domain that has remained underexplored in computational linguistics. We present the first named entity recognition (NER) dataset, HisTR and the first Universal Dependencies treebank, OTA-BOUN for a historical form of the Turkish language along with transformer-based models trained using these datasets for named entity recognition, dependency parsing, and part-of-speech tagging tasks. Additionally, we introduce Ottoman Text Corpus (OTC), a clean corpus of transliterated historical Turkish texts that spans a wide range of historical periods. Our experimental results show significant improvements in the computational analysis of historical Turkish, achieving promising results in tasks that require understanding of historical linguistic structures. They also highlight existing challenges, such as domain adaptation and language variations across time periods. All of the presented resources and models are made available at https://huggingface.co/bucolin to serve as a benchmark for future progress in historical Turkish NLP.




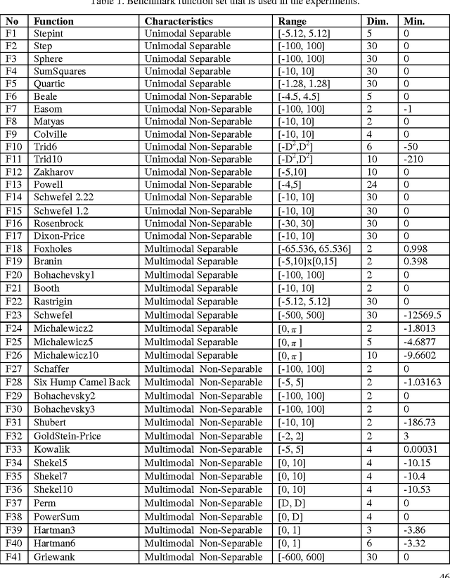
Abstract:The Vortex Search (VS) algorithm is one of the recently proposed metaheuristic algorithms which was inspired from the vortical flow of the stirred fluids. Although the VS algorithm is shown to be a good candidate for the solution of certain optimization problems, it also has some drawbacks. In the VS algorithm, candidate solutions are generated around the current best solution by using a Gaussian distribution at each iteration pass. This provides simplicity to the algorithm but it also leads to some problems along. Especially, for the functions those have a number of local minimum points, to select a single point to generate candidate solutions leads the algorithm to being trapped into a local minimum point. Due to the adaptive step-size adjustment scheme used in the VS algorithm, the locality of the created candidate solutions is increased at each iteration pass. Therefore, if the algorithm cannot escape a local point as quickly as possible, it becomes much more difficult for the algorithm to escape from that point in the latter iterations. In this study, a modified Vortex Search algorithm (MVS) is proposed to overcome above mentioned drawback of the existing VS algorithm. In the MVS algorithm, the candidate solutions are generated around a number of points at each iteration pass. Computational results showed that with the help of this modification the global search ability of the existing VS algorithm is improved and the MVS algorithm outperformed the existing VS algorithm, PSO2011 and ABC algorithms for the benchmark numerical function set.