



Abstract:The calibration of an advanced constitutive law for soil is a challenging task. This work describes GA-cal, a Fortran software for automatically calibrating constitutive laws using Genetic Algorithms (GA) optimization. The proposed approach sets the calibration problem as a regression, and the GA optimization is used to adjust the model parameters so that a numerical model matches experimental data. This document provides a user guide and a simple tutorial. We showcase GA-cal on the calibration of the Sand Hypoplastic law proposed by von Wolffersdorff, with the oedometer and triaxial drained test data. The implemented subroutines can be easily extended to solve other regression or optimization problems, including different tests and constitutive models. The source code and the presented tutorial are freely available at \url{https://github.com/FraJoMen/GA-cal}.




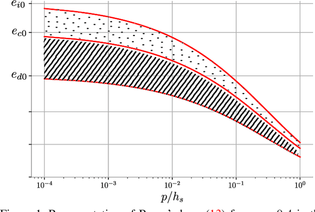
Abstract:This article proposes an optimization framework, based on Genetic Algorithms (GA), to calibrate the constitutive law of von Wolffersdorff. This constitutive law is known as Sand Hypoplasticity (SH), and allows for robust and accurate modeling of the soil behavior but requires a complex calibration involving eight parameters. The proposed optimization can automatically fit these parameters from the results of an oedometric and a triaxial drained compression test, by combining the GA with a numerical solver that integrates the SH in the test conditions. By repeating the same calibration several times, the stochastic nature of the optimizer enables the uncertainty quantification of the calibration parameters and allows studying their relative importance on the model prediction. After validating the numerical solver on the ExCaliber-Laboratory software from the SoilModels' website, the GA calibration is tested on a synthetic dataset to analyze the convergence and the statistics of the results. In particular, a correlation analysis reveals that two couples of the eight model parameters are strongly correlated. Finally, the calibration procedure is tested on the results from von Wolffersdorff, 1996, and Herle & Gudehus, 1999, on the Hochstetten sand. The model parameters identified by the Genetic Algorithm optimization improves the matching with the experimental data and hence lead to a better calibration.