



Abstract:This work proposes a small pattern and polarization diversity multi-sector annular antenna with electrical size and profile of ${ka=1.2}$ and ${0.018\lambda}$, respectively. The antenna is planar and comprises annular sectors that are fed using different ports to enable digital beamforming techniques, with efficiency and gain of up to 78% and 4.62 dBi, respectively. The cavity mode analysis is used to describe the design concept and the antenna diversity. The proposed method can produce different polarization states (e.g. linearly and circularly polarized patterns), and pattern diversity characteristics covering the elevation plane. Owing to its small electrical size, low-profile and diversity properties, the solution shows good promise to enable advanced radio applications like wireless physical layer security in many emerging and size-constrained Internet of Things (IoT) devices.
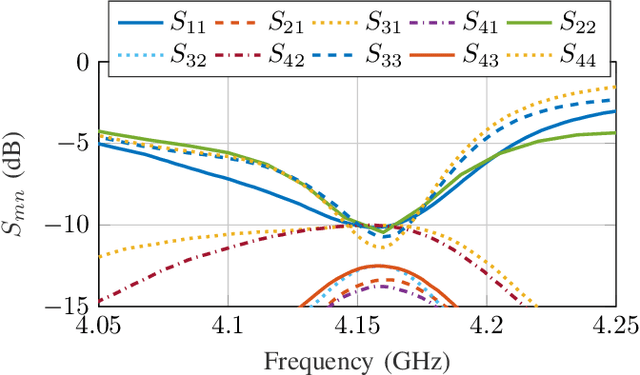
Abstract:This work proposes an electrically small 3D beamforming antenna for PHYsical Layer (PHY-layer) security. The antenna comprises two layers of stacked patch structures and is a five-mode five-port MIMO system operating around 1.85 GHz with electrical size ${ka=0.98}$ and radiation efficiency of up to ${55\%}$. By studying the properties of the excited modes, phase and amplitude control allow for unidirectional beam scanning towards any direction around the elevation and azimuth planes. PHY-layer security is investigated using the directional modulation (DM) technique, which transmits unscrambled baseband constellation symbols to a pre-specified secure direction while simultaneously spatially distorting the same constellations in all other directions. Bit Error Rate (BER) calculations reveal very low values of ${2\times10^{-5}}$ for the desired direction of the legitimate receiver, with BER${<10^{-2}}$ beamwidths of ${55^{\circ}}$ and ${58^{\circ}}$ for the azimuth and elevation planes, respectively.




Abstract:This work proposes an energy-efficient Directional Modulation (DM) scheme for on-body Internet of Things (IoT) devices. DM performance is tested using a 5-port stacked-patch MIMO antenna under two scenarios: a free space case and using a four-layer human forearm phantom to simulate the user's wrist. It is demonstrated that the scheme achieves steerable secure transmissions across the entire horizontal plane. With a low Bit Error Rate (BER) of ${1.5\times10^{-5}}$ at the desired directions, eavesdroppers experience a high error rate of up to ${0.498}$. Furthermore, this work investigates the DM performance using a subset of the stacked patches in the MIMO antenna, revealing that some combinations achieve a low BER performance using a lower antenna profile, albeit high side-lobes of BER${<10^{-2}}$ seen outside the desired region. Overall, the solution is proposed as a good candidate to enable secure wireless communications in emerging wearable IoT devices that are subject to size and energy constraints.




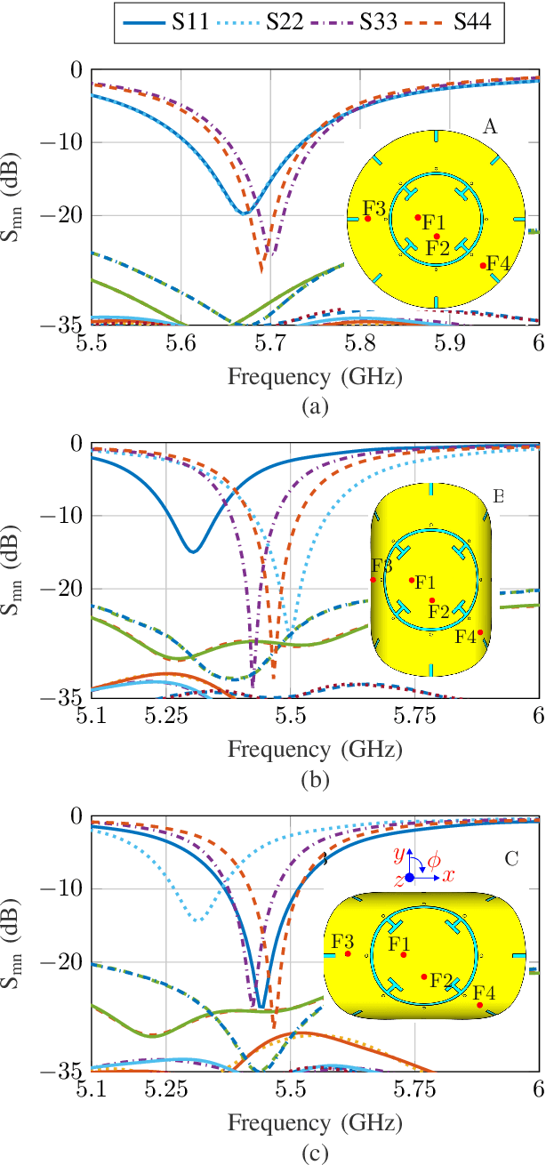
Abstract:This work proposes compact, flexible Multiple Input Multiple Output (MIMO) antennas. The design principle is based on the excitation of different orthogonal radiating modes within the same antenna volume. Via phase control of the excited modes, beamforming is demonstrated in azimuth and elevation planes using single-layered structures. For flexibility, the antennas are designed using Polydimethylsiloxane (PDMS) as the substrate. Numerical results demonstrate that isolation better than 23 dB is realized in all investigated antennas under different bend configurations. Moreover, the proposed technique demonstrates an antenna with unidirectional beamsteering across the entire elevation plane, and a second design realizes a bidirectional beamsteering in the horizontal plane. Overall, the results highlight the potential of multimode-based beamforming for flexible MIMO antennas in Internet of Things (IoT) systems.