



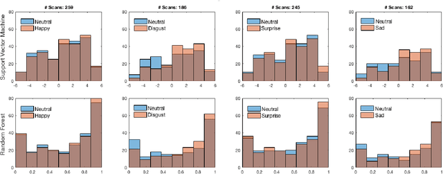
Human exhibit rich gender cues in both appearance and behavior. In computer vision domain, gender recognition from facial appearance have been extensively studied, while facial behavior based gender recognition studies remain rare. In this work, we first demonstrate that facial expressions influence the gender patterns presented in 3D face, and gender recognition performance increases when training and testing within the same expression. In further, we design experiments which directly extract the morphological changes resulted from facial expressions as features, for expression-based gender recognition. Experimental results demonstrate that gender can be recognized with considerable accuracy in Happy and Disgust expressions, while Surprise and Sad expressions do not convey much gender related information. This is the first work in the literature which investigates expression-based gender classification with 3D faces, and reveals the strength of gender patterns incorporated in different types of expressions, namely the Happy, the Disgust, the Surprise and the Sad expressions.