



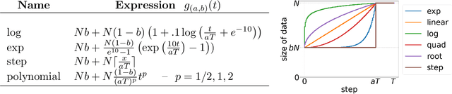
Inspired by human learning, researchers have proposed ordering examples during training based on their difficulty. Both curriculum learning, exposing a network to easier examples early in training, and anti-curriculum learning, showing the most difficult examples first, have been suggested as improvements to the standard i.i.d. training. In this work, we set out to investigate the relative benefits of ordered learning. We first investigate the \emph{implicit curricula} resulting from architectural and optimization bias and find that samples are learned in a highly consistent order. Next, to quantify the benefit of \emph{explicit curricula}, we conduct extensive experiments over thousands of orderings spanning three kinds of learning: curriculum, anti-curriculum, and random-curriculum -- in which the size of the training dataset is dynamically increased over time, but the examples are randomly ordered. We find that for standard benchmark datasets, curricula have only marginal benefits, and that randomly ordered samples perform as well or better than curricula and anti-curricula, suggesting that any benefit is entirely due to the dynamic training set size. Inspired by common use cases of curriculum learning in practice, we investigate the role of limited training time budget and noisy data in the success of curriculum learning. Our experiments demonstrate that curriculum, but not anti-curriculum can indeed improve the performance either with limited training time budget or in existence of noisy data.