



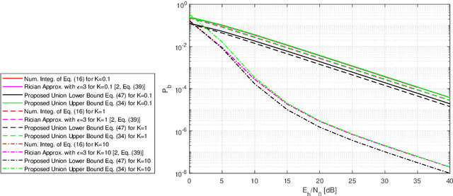
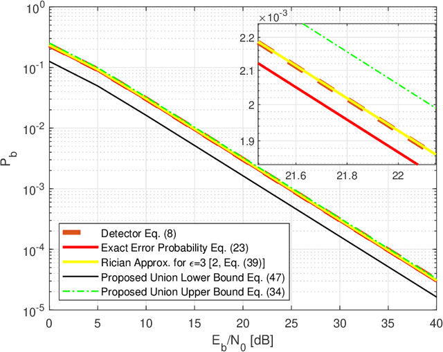
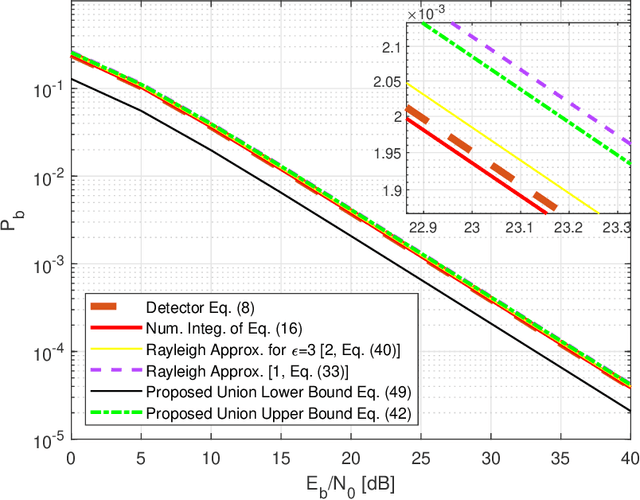
In this paper the symbol error performance of LoRa modulation is addressed for flat Rician block fading channels. First the exact symbol error probability of the LoRa modulation on Rician fading is derived. Then the upper and lower union bounds are employed on the derived symbol error probability. The proposed bounds are compared against the exact symbol error probability, the numerical evaluation of the symbol error probability and the state-of-art approximation of the LoRa symbol error probability. Numerical results show that while the proposed upper bound is very tight to the exact symbol error probability, there is approximately a 2.5 dB gap for the lower bound.