



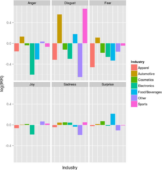
A key aspect of word of mouth marketing are emotions. Emotions in texts help propagating messages in conventional advertising. In word of mouth scenarios, emotions help to engage consumers and incite to propagate the message further. While the function of emotions in offline marketing in general and word of mouth marketing in particular is rather well understood, online marketing can only offer a limited view on the function of emotions. In this contribution we seek to close this gap. We therefore investigate how emotions function in social media. To do so, we collected more than 30,000 brand marketing messages from the Google+ social networking site. Using state of the art computational linguistics classifiers, we compute the sentiment of these messages. Starting out with Poisson regression-based baseline models, we seek to replicate earlier findings using this large data set. We extend upon earlier research by computing multi-level mixed effects models that compare the function of emotions across different industries. We find that while the well known notion of activating emotions propagating messages holds in general for our data as well. But there are significant differences between the observed industries.